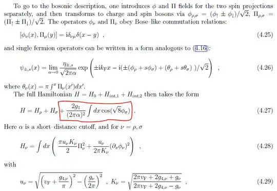
I am currently reading "Fermi liquids and Luttinger liquids" by Schulz (https://arxiv.org/abs/cond-mat/9807366). In page 27 it says the following:
My question is about how $$\frac{g_1}{(2\pi\alpha)^2} \int dx \cos(\sqrt 8 \phi_\sigma)$$ arises in (4.27), which is the bosonized form of (4.23). In this article, Bosonization convention is as follows:
$$\phi(x)=-\frac{i\pi}{L}\sum_{q\neq 0}\frac{1}{q} e^{-\alpha|q|/2-iqx} \left(\rho_+(q)+\rho_-(q) \right) - N\frac{\pi x}{L}$$ $$\theta(x)=\frac{i\pi}{L} \sum_{q\neq 0}\frac{1}{q} e^{-\alpha|q|/2-iqx} \left(\rho_+(q)-\rho_-(q) \right) +\frac{Jx}{L}$$ where $N=N_++N_-$ and $J=N_+-N_-$.
Please also note that the density fluctuation oeprator is defined as $$\rho_r(q)=\sum_k c^\dagger_{k+q,r} c_{k,r}$$ in this article (and in this question), while commonly denoted as $\rho_r^\dagger(q)$ in other references.

