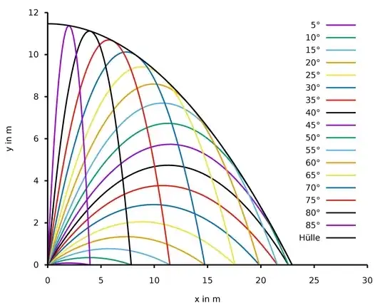
Each of the water particles gets pushed to the side by the other particles as the water hits the wall. If we neglect the viscosity of the water, each of these particles follows a throwing-parabola, but under different initial launch angles. If we assume the jet hits the wall horizontally, the water particles are thrown with the same (maximum) initial velocity in every direction. The shape that you observed is then given by the envelope of all possible parabolas.
For all parabolas
$$y(x) = x \tan \beta - \frac{g\,x^2}{2\,{v_0}^2 \cos^2\beta} + h_0$$
with initial launch angles $\beta$, the envelope is
$$y_\mathrm{H} (x) = \frac{{v_0}^2}{2\,g} - \frac{g\,x^2}{2\,{v_0}^2} + h_0.$$
So it forms indeed a parabola.

Edit: The envelope can be derived als follows:
If we define the family of curves implicitly by
$$F(x,y,\tan(\beta))=y - x \tan \beta + \frac{g\,x^2}{2\,{v_0}^2 \cos^2\beta}=y - x \tan \beta + \frac{g\,x^2(1+\tan^2\beta)}{2\,{v_0}^2 }=0$$
the envelope of the family is given by (Source)
$$F = 0~~\mathsf{and}~~{\partial F \over \partial \tan\beta} = 0$$
We have
$${\partial F \over \partial \tan\beta}=-x+\frac{gx^2\tan\beta}{v_0^2}=0 ~~ \Leftrightarrow ~~ \tan\beta=\frac{v_0^2}{gx}$$
Substituting that into $F$ we get
$$F=y-\frac{v_0^2}{g}+\frac{g(x^2+v_0^4/g^2)}{2v_0^2}=0 ~~\Leftrightarrow ~~ y_\mathrm{H} (x) = \frac{{v_0}^2}{2\,g} - \frac{g\,x^2}{2\,{v_0}^2}$$