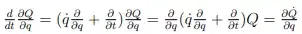
I am reading about Lagrange-Euler equation here.
When they prove that the formula is independent of the choice of coordinate, there is this reasoning, but I could not understand (probably my calculus background is not good):
Maybe this is simple, but could someone please explain it?
