2

It Occurs to me we might be able to find an entirely independent method of determining the Universe's acceleration using a single source.

If one was to watch a single high source consistently one should be able to simply simply watch for the change in it's redshift with time. I know it would be a small effect (perhaps choosing a high Z source would help).

Is such a task feasable?

Maybe something like finding a source that could line up with the recoiless resonant absorption (Mossbauer effect) in some crystal would have enough sensitivity? (ie a cosmological scale Pound Rebka experiment)??

Anyway, I hadn't heard of it, but maybe someone can tell me why its a bad/good idea. Thanks!

NOTE: I get that ultimately one would use several sources for a proper analysis.

Pulsar
  • 14,970
R. Rankin
  • 2,925
  • 16
  • 27

4 Answers4

2

To answer this we need to find out how rapidly the red shift is changing, then decide if the change is large enough to measure on the sort of timescales we can use for the measurement.

We describe the expansion of the universe by a scale factor that we conventionally set to unity right now. Then if the current distance to a star is $x_0$ the variation of the distance with time is given by:

$$ x(t) = a(t)x_0 $$

And a quick differentiation gives the acceleration of the star as:

$$ \ddot{x} = \ddot{a} x_0 $$

The change in velocity, and hence the change in red shift, in some time $t$ is approximately $\Delta v = \ddot x t = \ddot a x_0 t$ if we approximate the acceleration as constant, which is a good approximation on human timescales.

The acceleration of the scale factor is given by the second Friedmann equation:

$$ \frac{\ddot a}{a} = \frac{-4\pi G}{3}\left( \rho + \frac{3p}{c^2} \right) + \frac{\Lambda c^2}{3} $$

The pressure is approximately zero and currently $a = 1$ so this simplifies to:

$$ \ddot a = -\tfrac{4}{3} \pi G\rho + \tfrac{1}{3}\Lambda c^2 $$

The matter density (including dark matter) is around two hydrogen atoms per cubic metre or converting to SI:

$$ \tfrac43\pi G\rho \approx 9 \times 10^{-37} \,\text{s}^{-2} $$

The current value of the cosmological constant is $10^{−52}$ m$^{−2}$, and this makes the second term:

$$ \frac{\Lambda c^2}{3} \approx 3 \times 10^{-36} s^{-2} $$

Giving us the current value for $\ddot a$:

$$ \ddot a \approx 2 \times 10^{-36} s^{-2} $$

It just remains to decide how far away we can reliably monitor a single star, and how long we want to do the experiment. Let's take a billion light years as the distance ($10^{25}$ metres) and ten years for the experiment duration ($3 \times 10^8$ seconds) and we get:

$$ \Delta v \approx 0.006 \,\text{m/s} $$

We can measure the red shift due to velocities this small, for example using the Mossbauer effect, but only under very carefully controlled laboratory conditions. We would have absolutely no hope of doing it using a star a billion light years away. In any case the star will have some proper motion due to the gravitational fields it is travelling in and we could not be sure that a velocity change this small wasn't just due to local gravitational acceleration rather than the expansion of spacetime.

In summary, it's a nice idea but sadly infeasible.

John Rennie
  • 367,598
1

To be able to see the acceleration of a star means that one should measure with an accuracy much better than the current measurement error in red shifts. By the way, the expansion of space is measured by the change in the spectrum of galaxies, not stars.

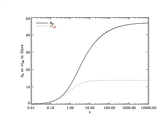
In the wiki article one sees a plot

red shift versus distance

Plot of distance (in giga light-years) vs. redshift according to the Lambda-CDM model. dH (in solid black) is the comoving distance from Earth to the location with the Hubble redshift z while ctLB (in dotted red) is the speed of light multiplied by the lookback time to Hubble redshift z. The comoving distance is the physical space-like distance between here and the distant location, asymptoting to the size of the observable universe at some 47 billion light years. The lookback time is the distance a photon traveled from the time it was emitted to now divided by the speed of light, with a maximum distance of 13.8 billion light years corresponding to the age of the universe.

The scale is in Giga light years, a error calculation on this curve would still be in fractions of Giga light years.To measure a change, over which a change in the red shift could register, so as to measure an acceleration, is not possible in human life times, which counts years, and so can see changes in light years.

In principle the experiment is doable (for a galaxy not a star), but not for humans.

anna v
  • 236,935
0

You just need to measure the recession velocity of any astronomical source.

The proper distance to a given source $d$ is related to the comoving distance $\chi$ through: $$ d(t) = a(t) \chi$$

where $a(t)$ is the scale factor for expansion of the universe. Then the recession velocity can be written as: $$\dot{d} = \dot{a} \chi = \frac{\dot{a}}{a} d$$

So the Hubble constant $H\equiv \dot{a}/a$ measures the rate of expansion of the universe in the above relation from the recession velocity of the source, and proper distance to it.

Ramtin
  • 397
0

The idea of measuring the change in redshift over time of a distant galaxy has been around since at least the 1960s. Unfortunately, it remains far beyond our technical capabilities. In a previous post, I derived the equation for $\dot{z}$:

$$ \dot{z} = (1+z)H_0 - H\!\left(\!\frac{1}{1+z}\!\right), $$ where $H(a)$ is the Hubble parameter, expressed in terms of the scale factor. In a $\Lambda$CDM model with $H_0 = 68\ \text{km}\,\text{s}^{-1}\,\text{Mpc}^{-1}$, this gives the following plot:

enter image description here

As you can see, $\dot{z}\sim 10^{-10}$ per year. With current technology, quasar redshifts can be measured with an accuracy up to $10^{-5}$ (see Davis & Lineweaver (2003), section 4.3). In other words, with current technology it would still take ~100,000 years to measure any change in redshifts. It's a great idea, but we have a long way to go before it becomes feasible.

Pulsar
  • 14,970