While the first half of the answer (v1) by John Rennie provides correct timescales, for the process we are discussing its second half is completely wrong.
Objects falling into a black hole enter the horizon in finite time by the clocks of outside observers
Let me elaborate: At this wikipedia page we can see the solution for a particle falling toward a black hole. We are interested in the asymptotic behavior of the radial coordinate as the particle approaches the horizon (or rather old horizon, before this infalling particle is incorporated in the black hole):
$$
r(t)\approx r_s\left(1+\exp\left(\frac{-c(t-t_0)}{r_s}\right)
\right),\tag{*}
$$
here $t$ is the Schwarzschild time or time by the clock of outside observer, $r_s$ is Schwarzschild radius (without the mass of a falling object), and a constant $t_0$ is determined by when and how the object started falling into the black hole.
Now consider the outgoing null geodesics (trajectories of massless particles such as photons flying away from the black hole) near the horizon of this black hole. If we disregard the effect of the falling object they would satisfy the equation
$$
r(t)\approx r_s\left(1+\exp\left(\frac{c(t-t_1)}{r_s}\right)\right).
$$
But, if we consider the area near the horizon where our object is falling, we cannot disregard its influence on these trajectories. As radial null geodesics cross the worldline of the infalling object they are deflected by the gravitational field of this object (however small) and as a result they remain near the horizon for a longer time. And if this intersection occurs while that object is at a distance of $r_s+\delta r_s $ then this geodesic would no longer be able to escape the black hole, and be on the new horizon. The new value of horizon radius: $r_s+\delta r_s $ is the sum of old radius and addition from the mass/energy ($\delta m$) of falling object $\delta r_s \approx \frac{2 G \delta m}{c^2}$ (minus the losses of energy on radiation etc.) While the details depend on the geometry of the fall, the most important fact is that according to (*), the value of radial coordinate of $r=r_s+\delta r_s$ is achieved in a finite time according to an external observer:
$$ \Delta t\approx \frac{r_s}{c}\ln\left(\frac{ r_s}{\delta r_s}\right)\approx \frac{r_s}{c}\ln\left(\frac{M}{\delta m}\right).$$
Even when we have very light object falling into a very large black hole the resulting time interval is quite small by human standards. For example if we take a photon of cosmic microwave background with energy $k_\text{B}\cdot 3\,\text{K}$ falling into Sagittarius A*, then logarithm would be about 175 and $\Delta t$ about two hours. So such photon falling from a radius of $3 r_s$ into a supermassive black hole would cross event horizon of a black hole in a couple of hours by the clock of external observer.
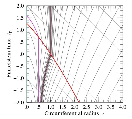
To illustrate this process look at the spacetime diagram from the book by Andrew Hamilton p. 166:

This image uses Eddington–Finkelstein coordinates that are more suited for study of the near horizon processes. Purple curve is an apparent horizon before the falling particle $r_s=0.5$, red curve is the worldline of the falling particle and we see that it crosses the true event horizon when $r=1$.
Null geodesics (thin black lines) between purple line and horizon are starting as outgoing but fall back into the black hole after being deflected by the falling particle.
Another point to note is that event horizon is a global construct and it depends not only on the past but also on the future of the black hole. So if in the future something else would fall into a black hole, the event horizon right now is expanding to accommodate the future increase in mass. (Of course if the increase in mass is small, and/or far away into the future, the horizon would be almost constant). So there is no instantaneous expansions.
Also relevant question: At what moment will matter falling into a black hole affect its size?
In this answer I completely ignored the effects of Hawking radiation and potential 'shrinking' of horizons due to it. This is well justified at current epoch for both stellar mass and supermassive black holes. At the very least temperature of cosmic microwave background is much greater than Hawking temperature of black holes, so their horizons would always be growing by absorbing CMB quanta.