Does a charged particle, an electron say, travelling with uniform velocity induce a magnetic field? I believe it doesn't. In primary school, we all learned how to induce a magnetic field into an iron nail by wrapping coils of wire around the nail and then hooking it up to a DC battery, but if you do not coil the wire, the magnetic nail doesn't occur. What's happening here? My only guess are the electrons are accelerating; the magnitudes of their speeds aren't changing, but rather their directions. In the coil, a force must be applying itself to the electrons in order for them to make their spiralling paths, thus, they are said to be accelerating and that is what causes the magnetic field to develop.
4 Answers
A straight wire does have a magnetic field. It circles around the wire instead of going in a straight line like in a coil.
Picture source: http://coe.kean.edu/~afonarev/physics/magnetism/magnetism-el.htm
On the left is a straight wire with the magnetic field curling around it. The middle shows a single loop of wire. Notice that the magnetic field still curls around the wire, but the fields from opposite ends of the loop add together to make a strong field. The right picture shows a multi-loop wire (a solenoid), which enhances the field compared to the single loop. The right picture is the kind of field you created with the wire and nail. For the same current, the solenoid creates a much stronger field, which is why it is used to magnetize the nail.
To answer your original question, a single electron in motion does have a magnetic field that's similar to the straight wire (the field curls around the electron's path of motion) except that it gets weaker as you move farther away along the electon's path.
 
    
    - 412
 
    
    - 25,556
A flow of electrons makes a current and therefore produces a magnetic field.
If electrons are traveling with a uniform speed, the current they form produces a constant magnetic field.
The reason you need a coil to magnetize a nail is because the magnetic fields of individual loops in a coil add up on the inside of the coil and create a strong unidirectional magnetic field there, with straight magnetic field lines. So, when a nail is inserted in such coil, it is permeated with the dense magnetic field all along its length.
In comparison, the magnetic field around a strait current carrying wire of the same length that was used to make the coil, is spread out over the length of the wire and, as a result, the density of the magnetic field is relatively low. In addition, magnetic filed lines around a straight wire are circular. So, there is no place around the wire where a nail could be exposed to a strong magnetic field aligned with its body.
Nevertheless, such field certainly exists, which can be easily demonstrated by using a compass or many other methods.
 
    
    - 12,353
My only guess are the electrons are accelerating; the magnitudes of their speeds aren't changing, but rather their directions.
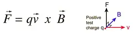
Wrong guess. Here is the definition of the magnetic field,exactly based on the force induced on a moving test charge
Experiments show that the magnetic field of a moving charge can be expressed as:
$μ_0$ is called the permeability of free space. The constant $ε_o$ that is used in electric field calculations is called the permittivity of free space. Note that $ε_oμ_o$ = 1/c2.
Just like the charge of the electron is an experimental fact, the magnetic field around a moving charge has been measured by experiment.
You state:
In the coil, a force must be applying itself to the electrons in order for them to make their spiralling paths.
The force comes from the electric fields in the solid state lattice of the coil, with which individual electrons in the current interact.
thus, they are said to be accelerating and that is what causes the magnetic field to develop.
Acceleration of electrons induces radiation, not a magnetic field, whether linear or circular. In a current carrying wire it is not one electron running around in the coil, but many drifting along the lattice of the wire, building up the current in the coil incrementally. The magnetic field of individual electrons is following this incremental steps, according to the formula above and the integration builds the magnetic field of the coil.
 
    
    - 236,935
Of course there is a magnetic field, otherwise the ampere would not exist. The ampere is defined by the magnetic attraction of two parallel straight wires carrying DC current.
(This answer is backwards in that it explains the existence of the field in terms of the non-silliness of the SI.)
 
    
    - 96,301
 
    
    - 1,797
 
    


