Here $\phi_I$ is just the free Klein-Gordon field. So, this field is decomposed of two components shown above. Now let $N$ be the normal ordering operator. Then, I think that $N(\phi_I^+(x)\phi_I^-(y))=N(\phi_I^-(y)\phi_I^+(x))=\phi_I^-(y)\phi_I^+(x)$. Is this true? If so, then $N([\phi_I^+(x), \phi_I^-(y)])=0$ must hold. Is this right?
!!!Addtional question!!!
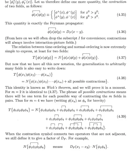
This is page 89 of Peskin and Schroeder's QFT book. First, from the definition (4.35) and my original question, $N(\text{contraction of}\; \phi(x)\; \text{and} \; \phi(y))$ must be zero. However, from (4.36) and the definition of the Feynman propagator (which seems to contain no operators $a_\textbf{p}$, $N(\text{contraction of}\; \phi(x)\; \text{and} \; \phi(y))=N(D_F(x-y))=D_F(x-y)$. So I am extremely confused... Also, (4.37) equation seems to be wrong. The right side seems to be just equal to $N(\phi(x)\phi(y))$ and it does not match with the left side. For the last, what exactly is the definition of the contraction of non-adjacent fields? For example what exactly is $\phi_1\phi_2\phi_3\phi_4$ with $\phi_1$ and $\phi_3$ contracted? I mean the thing inside $N$ of the left side of the last line of the picture I posted.

