I have the following configuration:
in which a viscous fluid with dynamical viscosity $\mu$ and density $\rho$ slides down the inclined plane due to gravity $g$.
After having solved the Navier-Stokes equation for this extremely symmetric and idealized situation I am asked to find the force per unit area the inclined surfaces feels using dimensional analysis, and then to compare the result with the analytical one.
What I did was to build a "table of units" as follows:
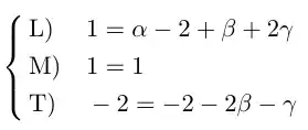
where the leftmost column L, M and T stand for units of length, mass and time and the uppermost row indicates each of the parameters of the problem. $F$ is the net force, not per unit area. And $\nu = \mu / \rho$ is the kinematic viscosity. Watching at this table it seems obvious to propose that $F \propto p_0$. Thus $$ F = p_0 d^\alpha g^\beta \nu^\gamma $$ from where I obtain the following equations for each unit
This tuns to be an undetermined system so one of the exponents in $ F = p_0 d^\alpha g^\beta \nu^\gamma $ is free.
How do I know which one is free? Is all this ok?
Thanks!


