1

I understand that the driver force will be in phase with the driven velocity at resonance. However, what will happen if I use the same force with the same frequency(resonance frequency) but applied it at different places when t=0. For instance, if a swing is set in motion and I pushed the swing when it is half way through in the air instead of at the lowest point, would that still cause resonance?

Thank you in advance.

charlielao
  • 71
  • 1
  • 7

2 Answers2

2

If your system is damped, after some periods, the resonance will occur regardless of at which point you apply the harmonic force on the swing and only the resonance frequency. There is a steady state solution: $ x(t)= X \sin{(2 \pi f t +\phi)} $. So if you apply a force with resonant frequency, it will vibrate at resonance as well and your initial conditions (e.g. starting phase) can be ignored.

If your system is undamped, there will be two terms determined by initial conditions (see solution below), but their frequency is identical to the resonant frequency. So the resonance still occurs.

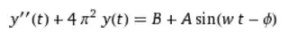
a undamped mass-spring system with harmonic force input: enter image description here

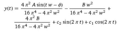
which can be solved by Wolfram: enter image description here

In conclusion, if you apply a harmonic force on a linear mass-spring system, the resonance occurs regardless of damping and the initial conditions (e.g. different phase of a swing vibration).

zlin
  • 161
0

The system response will be a linear superposition of two motions, they just happen to have a phase difference. The first component is the original motion. The second component, is the resonant response to the driving force.

Daddyo
  • 905