Reaction $$\pi^- p \rightarrow \pi^0 n$$ has a peak due to $\Delta$ resonance, which has a mass 1232 MeV and $\Gamma$ = 120 MeV. The partial widths are $\Gamma_i = 40$ MeV and $\Gamma_f = 80$ MeV. I need to explain why the ratio of $\frac{\Gamma_i}{\Gamma_f}$ is equal to 1/2 by looking at isospin. Thus I need to compare the matrix elements: $ \langle \text{final}|H'|\text{initial}\rangle$. The actual Hamiltonian does not matter, I should be able to get the ratio just from the states. Looking at isospin, $\pi^-$ has isospin $|1,-1\rangle$, proton has isospin $|1/2,1/2\rangle$. So if I understand correctly I need to combine them and do Clebsch-Gordan decomposition? The Clebsch-Gordan is: $$|3/2,-1/2\rangle = \sqrt{\frac{2}{3}} |1/2,-1/2\rangle|1,0\rangle + \sqrt{\frac{1}{3}} |1/2,1/2\rangle|1,-1\rangle$$ So then what is the next step? How do I write the first matrix element?
4 Answers
Probably there is a confusion with the particles (in particular $\pi^{-}$ has isospin state $|1,-1\rangle$). However I think I understood your question and I will try to reformulate it:
Some initial particles (probably $p\pi^-$) interact and the process, which conserves isospin, finds the $\Delta(1230)$ resonance. By charge conservation , this only could be $\Delta^-$. We want to calculate:
$$ BR = \frac{\Gamma(\Delta^0\rightarrow p\pi^-)}{\Gamma(\Delta^-\rightarrow n\pi^0)} $$
The state of isospin of $\Delta^-$ is $|\frac{3}{2},\frac{1}{2}\rangle$, while for the final states we have $p\pi^- = |\frac{1}{2},\frac{1}{2}\rangle|1,-1\rangle$ and $n\pi^- = |\frac{1}{2},-\frac{1}{2}\rangle|1,0\rangle$. Because $\Gamma$ is proportional to the probability of the process, by Bhor rule $\Gamma = k |\langle\mbox{final state}|\mbox{initial state}\rangle|^2$ for some constant $k$. Hence:
$$ BR = \frac{\Gamma(\Delta^0\rightarrow p\pi^-)}{\Gamma(\Delta^-\rightarrow n\pi^0)}=\frac{|\left(\langle\frac{1}{2},\frac{1}{2}|\langle 1,-1\right)|\frac{3}{2},\frac{1}{2}\rangle|^2}{|\left(\langle\frac{1}{2},-\frac{1}{2}|\langle 1,0|\right)|\frac{3}{2},\frac{1}{2}\rangle|^2} $$
Using Clebsch-Gordan coefficents you can change from the base $I_1 \times I_2 = \frac{1}{2}+1$ to $I = \frac{3}{2} + \frac{1}{2}$. The rest is simply algebra taking in account the orthogonality relations between states $\langle J,M|J',M'\rangle = \delta_{J,J'}\delta_{M,M'}$
- 940
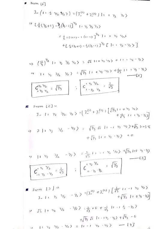
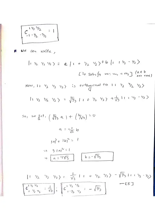
Here I show simple derivation of CG coefficient for j1=1/2 and j2=1. It can be very helpful.
So we can get easily through CG coefficient. CG coefficient derivation is like for the case of j1=1/2 and j2=1.




