I was just thinking about the force exerted on earth by different bodies such as myself,my laptop,my school bag etc.But these forces are too small in magnitude for earth. Suddenly i thought that can there be a force which can dislocate earth from its orbit around the sun?? If yes then what kind of force will it be and can it even be generated. I thought much and try to get the answer but got nothing significant. forgive me if these question has already been asked or is too easy for the site. thanks in advance.
2 Answers
Let's first calculate escape velocity equation, First let's look at the amount of work $dW$ needed to move an object over a distance $dr$.
$$dW=Fdr=G\frac{Mm}{r^2}dr\tag{1}$$
Now to calculate the work needed for this object to reach an escape velocity we have to integrate the (1) equation From $r$ (surface of the Earth) to infinity (escaping the earth).
$$W=\int_{r}^{\infty} -G\frac{Mm}{r^2}dr=-GMm \int_{r}^{\infty} r^{-2}dr=\frac{GMm}{r} \bigg|_{r}^{\infty}=\frac{GMm}{r}$$
This is the work needed for an object to reach an escape velocity, Now we can make this equal to kinetic energy $K_e$ which will be minimum amount of energy required for an object to reach escape velocity, So we Need $W=K_e$
$$\frac{mv_{escape}^2}{2}=\frac{GMm}{r} \Rightarrow v_{escape}^2=2\frac{Gm}{r}$$
$$v_{escape}=\sqrt{\frac{2GM}{r}}$$
We can calculate the escape velocity of the sun at a distance of $1 AU$ and this will be the minimum velocity earth must achieve to escape the sun. We know that $1 AU = 1.496\times 10^{11} meters$ and $M_{sun}= 1.989 \times 10^{30} kg$ From Wikipedia, Now lets plug this parameters into the equation we calculated before.
$$v_{escape}=\sqrt{\frac{2G \times 1.989 \times 10^{30} kg}{1.496\times 10^{11} meters}} \approx 42 \frac{km}{s}$$
Earths orbital speed is $30km/s$ and let's assume that Earth accelerates at a constant rate from $30km/s$ to $42km/s$, In this case:
$$a=\frac{12000}{t} m/s^2$$
Where $t$ is time taken for Earth to reach escape velocity. Now we can calculate the force which must be applied to earth for it to reach escape velocity in $t$ seconds: ($M_{Earth}=5.972 /times 10^(24) kg$)
$$F=M_{Earth}\frac{12000}{t} \Rightarrow 5.972 \times 10^{24} \times \frac{12000}{t}$$
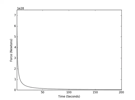
$$F=\frac{7.1664 \times 10^{28}}{t}$$
Now we can graph this function where $t$ will be a variable thus we can get an idea of a force required to apply on Earth at a given interval of time, So that it will reach escape velocity in time $t$.
$10^{28} Newtons$ is a enormous amount of force and no everyday object can ever be able to exert such a force on earth. According to Live Science a human can exert a "maximum" force of $5000 Newtons$, Lets imagine that a person can somehow exert this force on earth continuously, given this we can now calculate how much time it will take for earth to reach escape velocity:
$$5000 = \frac{7.1664 \times 10^{28}}{t}$$
$$t = \frac{7.1664 \times 10^{28}}{5000} \Rightarrow t = 1.43328 \times 10^{25} seconds$$
$$t = 4.5 \times 10^{17} years$$
Which is way larger than the age of the universe itself, About $32,912,227$ times larger to be precise, Therefore we can conclude that a human being cannot accelerate earth to escape velocity from sun in a reasonable amount of time, Even if such a thing was attempted by human beings on Earth, it still wouldn't work because the sun has about 5 billion years to go before becoming a red giant and "swallowing" the Earth.
- 402
For the purpose of orbital mechanics, you and your laptop are part of Earth, and the gravitational force between you and the rest of the planet, as well as the contact force between you and the chair you're sitting on are merely "internal stresses" in the clump of co-traveling matter that is Earth. The internal forces cancel each other out (this is Newton's third law), so they don't have any net effect on the movement of the entire ensemble.
In order to change earth's orbit you need to have a force working between Earth and something outside Earth. The gravitational pull of the Sun and the other planets is about the only realistic option for this.
Over billions of years it is mathematically possible for the gravitational influences of the other planets to add up to something that significantly changes our orbit (and those of the other planets), but it is extremely unlikely and requires that all of the small influences just happen to line up towards that end result. It is much more likely that they will all cancel out each other in the long run).

