I couldn't think of a better title to describe this confusion that I have.
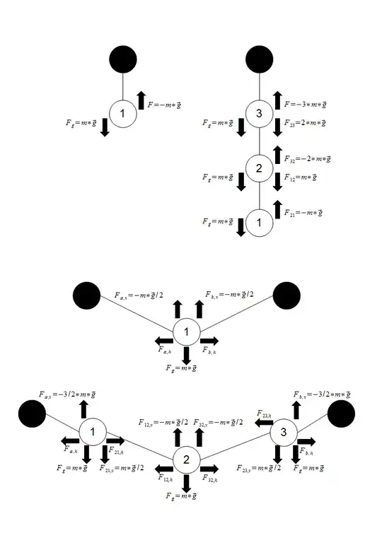
Say you pick up a string and pull on both ends so that it is rigid. The string is a collection of an infinite number of objects. For simplicity, assume there are $n$ objects for some large integer $n$, each of which has mass $m$, and number the objects $A_1$, $A_2$, ..., $A_n$ from left to right. Maybe we can take the limit as $n$ goes to infinity; I don't know how to rigorize this.
Your left hand exerts some force $\vec{F}$ onto $A_1$. The only other two forces on $A_1$ are gravity and the force $\vec{F}_{21}$ from $A_2$, since $A_1$ is only in contact with $A_2$. Gravity is $m\vec{g}$. Since the string is not moving, the sum of the forces on $A_1$ is $\vec{0}$, so
$$\vec{F}_{21}+\vec{F}+m\vec{g}=\vec{0}$$
$$\vec{F}_{21}=-\vec{F}-m\vec{g}$$
By Newton's Third Law, the force $\vec{F}_{12}$ from $A_1$ onto $A_2$ equals $-\vec{F}_{21}$, which is $\vec{F}+m\vec{g}$. The only other two forces on $A_2$ are $m\vec{g}$ and the force $\vec{F}_{32}$ from $A_3$ onto $A_2$, so
$$\vec{F}+m\vec{g}+m\vec{g}+\vec{F}_{32}=0$$
$$\vec{F}_{32}=-\vec{F}-2m\vec{g}$$
If we keep going, we add an $m\vec{g}$ each time, until we get that the force from our right hand onto $A_n$ is $-\vec{F}-nm\vec{g}$, which is a lot more than $\vec{F}$, not to mention that $n$ is supposed to go to infinity.
What is wrong with my logic? Do my hands somehow exert $-m\vec{g}$ on each object?
