Is there a unit for expression of degree how much space is curved?
Obviously there is different degrees of warping space, the Sun warps space less than black hole. How in physics is this degree of space warp declared?
How much Jupiter warp space?
How much the Sun warp space?
5 Answers
As far as in general terms how we measure the curvature of space, we can use geometrical methods, rather than units of any particular coordinate system, to establish the deviation of curved space compared to flat space. Such a curvature measurement is based around a unitless ratio.
Positive curvature will result in a triangle having a total internal angle of greater than 180 degrees, and negative curvature produces a triangle of total internal angle of less than 180 degrees. More on how we can estimate intrinsic curvature on various toplogical surfaces can be found at Gaussian Curvature, Gaussian curvature is defined not as the angular deficit but as the ratio of the angular deficit to the area of the triangle.
The fundamental difference between intrinsic curvature and extrinsic curvature is that to calculate intrinsic curvature, we do not need an extra dimension (which we don't have available to us in 4 dimensional spacetime).
From left to right: a surface of negative Gaussian curvature (hyperboloid), a surface of zero Gaussian curvature (cylinder), and a surface of positive Gaussian curvature (sphere).
Positive curvature of 270 degrees, rather than as in flatspace, the usual 180 degrees of a triangle.
I am deliberately going to skip over the concept of Parallel Transport and go straight to the Geodetic Effect.
In a curved three-dimensional space, a gryoscope is a good physical object analog for a three-dimensional tangent vector.
A gyroscope in orbit around Earth will point in a given direction, and due to Earth's curvature of spacetime, the direction it points will rotate due to the curvature of spacetime caused by the mass of the Earth. This rotation is called the geodetic effect, and the illustration below exaggerates this effect, as it is not detectable by sight, due to the relatively small mass of the Earth.
This gyroscope based method does actually produce a numerical, rather than geometrical, measurement.
An exaggerated representation of the geodetic effect. A gyroscope placed in orbit about the earth precesses due to the curvature of space around the Earth.
There are other effects, such as Frame Dragging Wikipedia , and a good source of more information, from which the above summary and illustrations are taken is The Geodetic Effect.
I also include a comment from Jerry Schirmer: I'd argue that Riemann curvature definitely has a unit -- inverse length squared. Note that the deviation of triangles from 180 degrees depends on the size of the triangle.
The question is posed at a nontechnical level, and count_to_10 has given a pretty decent nontechnical answer. However, that answer doesn't literally address the OP's question about the units of measurement, or about how much curvature is caused by, e.g., the sun.
Is there a unit for expression of degree how much space is curved?
General relativity doesn't describe gravity as curvature of space, it describes it as curvature of spacetime.
GR has more than one measure of curvature. In fact, there is an infinite number of different ways of measuring curvature, e.g. the Carminati-McLenaghan invariants, https://en.wikipedia.org/wiki/Carminati%E2%80%93McLenaghan_invariants. However, there are some measures of curvature that are more fundamental than others and frequently used. These are the Riemann tensor, the Ricci tensor, and the Ricci scalar.
All of these are tensors. (A scalar is a special case of a tensor.) It's a little subtle to define what we mean by the units of a tensor. I have a detailed discussion of this in section 9.6 of my special relativity book. As described there, there are multiple differing conventions for describing the units of a tensor. None of these conventions is right or wrong; you just have to pick one before you can say what you mean by units.
Anyway, if you adopt the convention that I advocate there (which is essentially the one used by Schouten), then the three curvature tensors I describe above all have SI units of meters^-2. To relate this to count_to_10's answer, note that the angular deficit of the triangle in the first figure is proportional to the area of the triangle. Therefore if we want a measure of curvature that is independent of what triangle we use, we need to divide the angular deficit by the area.
How much the Sun warp space?
In a locally Cartesian coordinate system, all the components of the Riemann tensor due to the sun's field are of order $Gm/(c^2r^3)$, where $m$ is the mass of the sun and $r$ is the distance from the sun. As a physical motivation for this expression, without delving into the details of GR, the idea is that GR describes gravity as a fictitious force, and only tidal effects are real. In Newtonian physics, tidal effects go like $Gm/r^3$. The factor of $c^{-2}$ is just a matter of units; we need it in order to get an SI result. Setting $r$ equal to the distance from the earth to the sun, we get about $4\times 10^{-31}\ \text{m}^{-2}$.
between the sum of the angles of the triangle and the total curvature inside that triangle is given by
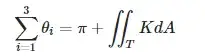
where θi is the angle measured at each satellite (measured in radians), T is the 2D triangular surface defined by the three satellites being integrated over, K is the Gaussian curvature at each point in the triangle, and dA is the infinitesimal area with curvature K. For a region of space with zero total curvature, the angles will sum to π radians (180∘). Positive curvature leads to a sum larger than π, negative curvature to a sum smaller than π.
k is Coulomb's law constant R is Ricci Tensor - Ricci tensor is unit less so
One way to measure space time curvature is with gyroscopes and they measure arcsec/yr or seconds of arcs per year. But degrees still work in space. If you plaster a triangle on a sphere it's angles will add up to 270 degrees instead of 180.
- 837
In the Robertson-Walker metric,
$$ (\text{ds})^2 = c^2(\text{dt})^2 - F^2(t)\left[ \frac{(\text{dr})^2}{1-kr^2} + r^2(\text{d}\theta)^2 + r^2\sin^2\theta (\text{d}\phi)^2 \right] $$
The $k$ in the second term is the curvature parameter that takes the values +1 or -1 depending on whether spacetime is positively or negatively curved. This is a simplified version of $K$, which is the Gaussian curvature. The spatial curvature is then related to the Ricci scalar $R$ which is a number that is determined by the geometry of the space around it.
- 157
- 5
Yes. In cosmology, it's called 'the metric'. 'The metric' is the equation the describes how space is 'curved' around bodies, etc, and allows you to distinguish between the 'metric distance' and the 'proper distance'. Barbara Ryden's "Introduction to Cosmology" has a fantastic introduction to the concept, as well some some very nice illustrations.
- 1




