This answer is really just an amplification of Yvan Velenik's answer, as I feel what the direction of study he briefly mentioned deserves a bit more space here.
A remarkable 2006 Nature Physics paper by Bernard et al kicked off the little subject of finding SLE-like curves in turbulent systems -- here, the authors did a large numerical study of 2D incompressible Navier-Stokes in a turbulent regime, generating large data sets for the vorticity, and then plotted the zero-lines of this scalar field.
One sees curves such as this (red is the actual zero-line, blue is the "outer boundary", green dots are "necks of large fjords and peninsulas"):

I'll just quote the key figure of the paper with some text from the paper here:
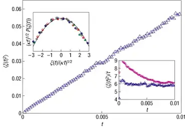
To determine which driving function $\xi(t)$ can generate such a curve, one needs to find the sequence of conformal maps $g_t(z)$ that map the half-plane H minus the curve into H itself. We approximate $g_t(z)$ by a composition of discrete, conformal slit maps that swallow one segment of the curve at a time (a slight variation of the techniques presented in http://www.math.washington.edu/~marshall/preprints/zipper.pdf). This results in a sequence of 'times' $t_i$ and driving values $\xi_i$ that approximate the true driving functions. If the zero-vorticity isolines in the half-plane are actually SLE traces, then the driving function should behave as an effective diffusion process at sufficiently large times. We have collected 1,607 putative traces. The data presented by blue triangles in Fig. 4 show that the ensemble average $\langle \xi(t)^2\rangle$ indeed grows linearly in time: the diffusion coefficient kappa is very close to the value 6, with an accuracy of 5% (see inset).
[The URL above is now broken, but the cited preprint is "Convergence of a variant of the Zipper algorithm for conformal mapping" by Marshall and Rohde: arXiv, published version].

Now mean squared displacement versus time is not necessarily the best test for the Loewner driving function to be Brownian motion (though in physics, this is basically all one sees), but still I think this plot is quite amazing.
Regarding this turbulent result though there's no theoretical understanding of why SLE should show up, or even why there should be conformal invariance (not even at the level of physics, despite some 1 2 rather impenetrable (to me) work in this direction by Polyakov).
Now, SLE$_6$ curves are conjectured to be the boundaries of critical percolation clusters (proven by Smirnov in a special case). And there is a well-studied connection between transition to turbulence in pipe flow and directed percolation (see this paper of Sipos and Goldenfeld for some recent nice work). However, I find it hard to relate these two as DP shows up as a property of the dynamics, and the SLE stuff is more about static snapshots of the fluid flow. I would be happy to be proven wrong though.
These results have then been followed up by some experimental work on flows in soap films. Aside: I can't resist pointing out that in the classic 1980 review on 2D turbulence by Kraichnan and Montgomery, it is stated "Two-dimensional turbulence has the special distinction that it is nowhere realised in nature or the laboratory but only in computer simulations." By 1986, this was shown to be quite wrong.
Returning to SLE, similar curves with other values of $\kappa$ were found in several other 2D turbulent models, which I think are mostly summarized by this paper by Falkovich and Musacchio which tries to relate the value of $\kappa$ to some properties of the model.
Thalabard et al published a recent paper in PRL along these lines which found SLE curves in a 3D system after averaging over one direction.