This is an interesting case of a kind of 'gravity spring' when the sphere is within a certain range of the torus.
If we consider the torus as a ring and the sphere as a point mass by Newton's First Theorem, then we can show that for a ring with radius $a$, the force between the two objects decreases as they are brought closer together, over range of positions along the $z$ axis of the ring between $-a/\sqrt{2}<x<a/\sqrt{2}$.
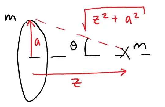
From the diagram below we see that, since forces perpendicular to the $z$-axis cancel,
\begin{equation}
F = 2\pi a \; \cos{\theta} \; \frac{Gm^2}{z^2+a^2},
\end{equation}
and $\cos{\theta} = z/\sqrt{z^2+a^2}$ so
\begin{equation}
F = 2\pi a \frac{Gm^2z}{(z^2+a^2)^{3/2}},
\end{equation}
which you'll notice is only harmonic (like a true idealised spring) in the limit of $z \ll a$. However we can still have 'spring-like' behaviour for larger $z$, with maximum 'restoring force' at the $z$ extrema and zero 'restoring force' at the centre, when
\begin{equation}
\frac{dF}{dz} = 2\pi m^2 a \frac{a^2-2z^2}{(z^2+a^2)^{5/2}}<0,
\end{equation}
which means that within the range $|z|<a/\sqrt{2}$, the force decreases with $z$ until it reaches $0$ at the centre of gravity of the torus.
Like a spring, when the sphere eventually settles at the centre, the system can still be 'stretched' again, and this is in fact easiest when the sphere is at the centre, since the force is zero here. At this point, you would in fact require no force to give the sphere a little oscillation again.
If we were talking about two Newtonian point masses, then they would be inseparable if they were infinitely close together, but this is not because their centres of mass would align, but rather because the Newtonian force would be infinite, as
\begin{equation}
F = \frac{Gm^2}{r^2} \rightarrow \infty
\end{equation}
as $r \rightarrow 0$.
For this spring, system, the situation is in fact the opposite!
