When considering super massive stars going supernova, what are the heaviest elements that are predicted to be able to be created? So if the star VY Canis Majoris (1200 suns) were to go supernova, what heavy elements would it produce and in what kinds of quantities?
1 Answers
Depends what you mean by "produce". In a core collapse supernova, the r-process will produce a huge variety of heavy elements, some of them stable, some not stable. That is probably where most of the Uranium in the universe is made for instance. But even heavier elements with very short lifetimes are likely to be produced too.
VY CMa is a fairly large (in terms of its radius), massive red supergiant that is near the end of its life. It probably has a mass around 20 times that of the Sun, so is certainly in the category of a star that will undergo a (probably quite typical) core-collapse supernova event. The attached plot shows the fraction of various elements produced in the r-process that are found in the interstellar medium today. This is not quite what you want to know, but given that the r-process in modest mass core-supernova events (from stars like VY CMa) probably dominates this plot (there is some debate over whether colliding neutron stars can produce a few of the heavier elements like gold and osmium - but see below), you can multiply these numbers by the relative abundances of elements in the Sun (e.g.Asplund et al. 2009) to estimate the contribution from typical supernovae.
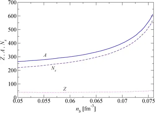
However, if you include the neutron star remnant that may be left behind, then much heavier nuclei can be built, with atomic masses of 300 or more. These very neutron-rich nuclei are quasi-stable in the crust of a neutron star because they are surrounded by a "sea" of relativistically degenerate electrons that block the normal decay channels. The higher the density, the more heavy and neutron-rich the equilibrium nucleus becomes, until ultimately at around $10^{17}$ kg/m$^3$, the identity of individual nuclei is lost and the crust dissolves into a sea of free neutrons (with a small fraction of protons and electrons). The following plot (from Douchin & Haensel 2000 ) shows the atomic mass and atomic number of the equilibrium "nuclei" in the crust as a function of density (where $0.05$ baryons fm$^{-3} \sim 8\times 10^{16}$ kg/m$^{3}$). Note that although the atomic number reaches a relatively modest 45 (Rhodium), the atomic number reaches 600!
Of course whilst the former supernova-generated elements (at least, the stable ones) can be dispersed into space by the explosion and detected later, the latter are confined to the neutron star crust. Indeed, they are only stable at the high densities found in the crust. Because these ultra neutron-rich nuclei exist within the crust, there is no immediate prospect of their detection; though the Physics behind their predicted presence is well understood.
Edit: Since I wrote this answer, the tide has definitely swung towards neutron star mergers as being the primary production site for r-process elements. The inference of absorption by heavy elements in the expanding remnants of some kilonovae and the coincidence of one of these with gravitational waves from a neutron star merger has increased the plausibility of this scenario dramatically.
- 141,325

