Free-electron lasers are devices which use the motion of highly energetic electron beams to produce bright, coherent radiation in the x-ray regime. More specifically, they start with a high-energy electron beam and feed it into an undulator, which is an array of alternating magnetic fields designed to make the electron beam move in a 'zigzag' path with sharp turns on either side, emitting synchrotron radiation during each turn.

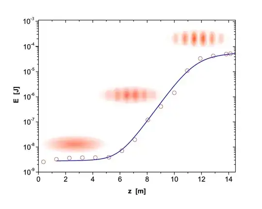
The radiation thus produced is added up over successive turns, and it is produced coherently via self-amplified spontaneous emission.
One common question frequently posed of this setup is: is this actually a laser? That is, does it have population inversion, and is the radiation actually emitted via stimulated emission in some suitable understanding of it? People in the know tend to answer in the affirmative, but I've yet to see a nice explanation of why - and definitely not online. So: do FELs actually lase?
