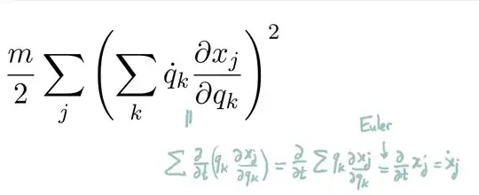
The teacher wrote the following:

There is a dot missing where the green arrow is, right? After applying Euler's theorem, the term in brackets becomes $x_j$, but we need it to be $\dot{x_j}$, don't we?
The teacher wrote the following:

There is a dot missing where the green arrow is, right? After applying Euler's theorem, the term in brackets becomes $x_j$, but we need it to be $\dot{x_j}$, don't we?
There's an equals sign missing: there should be an equals sign to the left of every $\frac m2$, but the third one is missing.
There should not be a time-differentiation dot on the $\partial x_j$ under your green arrow. For dimensional consistency, the terms in the parenthesized summation, $$ \dot q_k \frac{\partial x_j}{\partial q_k} $$ must have units of velocity. Whatever the units of the coordinate $q$ are, they'll cancel out; an extra dot at your arrow would give you too many factors of time in the denominator.
This is rather cryptic restatement of the chain rule for total derivatives, which is $$ \frac d{dt} x(a,b,\cdots,t) = \frac{\partial x}{\partial a} \frac{d a}{d t} + \frac{\partial x}{\partial b} \frac{d b}{d t} + \cdots + \frac{\partial x}{\partial t} $$
Now I understand. I didn't notice the dot on the $\dot {q_j}$. Euler's theorem will give us the correct result:
