I have found these notes: http://www.physics.usu.edu/Wheeler/QuantumMechanics/QMWignerEckartTheorem.pdf
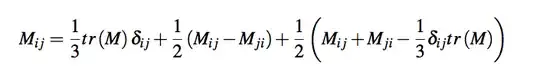
Which state on page two that a matrix (M) can be broken up into rotationally independent pieces like so:

(ps: I believe the last term should have 2/3 and not 1/3 in front of the delta_ij, but please tell me if I am wrong).
My question is: why is it that a matrix can be broken up into these three parts? Is it always these three parts (trace, symmetric, and anti-symmetric parts)? I am new to the concept of irreducible tensors and I think this relates to them.
I have tried reading previous threads about this on here: Irreducible tensors concept and here: Irreducible decomposition of higher order tensors however, none answer the question of why it is even possible to break up a matrix like so. Where does this concept come from?