The lie group + representation theory approach to special functions & how they solve the ode's arising in physics is absolutely amazing. I've given an example of it's power below on Bessel's equation.
Kaufman's article describes algebraic methods for dealing with Hermite, Legendre & Associated Legendre. Can we take the other special functions mentioned in this paper, obtainable as linear combinations of the conformal symmetries of the Laplacian (expressed as lie algebra elements), and obtain their solution analogously to how Bessel is solved below? I believe it's something like a geometric interpretation of Weisner's method.
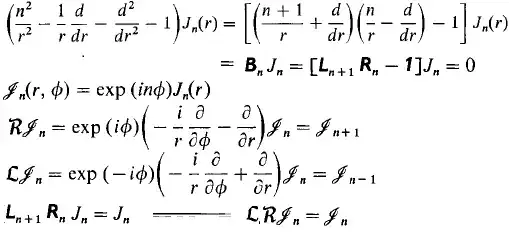
Bessel's equation seems to be saying: find a function in the plane such that when we shift it right, then shift it back left again, all locally (i.e. differentially) in polar coordinates, we get the same function:

(c.f. Killingbeck, Mathematical Technique's and Applications, sec. 8.21).
The idea is to take Bessel's equation, factor it, add an extra variable to make the factors parameter independent so that they become elements of a lie algebra, identify the meaning of those factors, in this case notice the Lie algebra factors are translations in Polar coordinates, and realize it's just a differential expression of a symmetry.
Bessel's equation arises from $LRv = v$ when you express $L$ & $R$ in polar coordinates. It makes sense to express them in polar coordinates since Bessel arises from separating the Laplacian assuming cylindrical symmetry, and the $LRv = v$ assumption (not $LRv = w$) is motivated by the symmetry of the Laplacian.
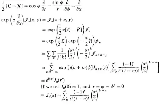
Using this idea we can, for some reason, actually solve Bessel's equation with a picture!:

We just want to shift $\mathcal{J}_n(r,\phi)$ in the x-direction using the operator $e^{a\tfrac{\partial}{\partial x}}$ expressed in polar coordinates: $e^{\tfrac{a}{2}(\mathcal{L}-\mathcal{R})}$ and realize it will be equal to $\mathcal{J}_n(r',\phi')$:

So the last line comes from dragging all this to the origin and putting it along the x-axis, here we see the geometric meaning of Bessel functions!
Hypergeometric is supposed to be related to $SL(2,R)$ symmetries, Bessel to translational planar symmetries, the Gamma function related to linear symmetries $y = ax + b$, etc... Is there an easy unified geometric exposition on how to deal with these babies?
It'd be great to understand the other equations, their formulation and solution, with a geometric interpretation like this one.
References:
- Killingbeck, Mathematical Technique's and Applications, sec. 8.21
- Vilenkin, Representation of Lie Groups and Special Functions Vol. 1
- Vilenkin, Special Functions and Theory of Group Representations
- Miller, Lie Theory and Special Functions
- Kaufman, Special Functions of Mathematical Physics from the Viewpoint of Lie Algebra