The last couple of days i have been thinking about temperature and heat and i thought :
What happens to temperature if i continually supply a particle with energy?
Then i thought at sometime i would run out of energy (the energy of the whole universe) so that would be the limit of temperature.
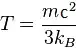
But temperature is proportional to the jiggling of the particle but the particle cannot move as fast as light so i used an equation from thermodynamics from Kinetic theory of gases which suggests that:

So i figured the limit of Temperature would be :

Can you follow this possibly crazy train of thought? Please explain to me: Does temperature have a limit? If so what is it?