In proving the total energy in conservative field is constant we have this equation(picture) why it added partial derivative? Why? I mean where it did come from?

In proving the total energy in conservative field is constant we have this equation(picture) why it added partial derivative? Why? I mean where it did come from?

Lets make up an example. $$U(x,y,z,t) = E_0\left(x^2+y^2+\alpha\,z^4 -\beta\,t\,z^2\right)$$ In that case parital derivatives are: $$\frac{\partial U}{\partial x} = 2xE_0,\; \frac{\partial U}{\partial x} = 2yE_0,\; \frac{\partial U}{\partial z} = \left(4\alpha z^3 -2\beta z\right)E_0,\; \frac{\partial U}{\partial t} = -\beta\,z^2E_0 $$ Now you have a particle that moves like: $$x(t) = R\cos \omega t,\quad y(t) = R\sin \omega t,\quad z(t) = vt $$ If we substitute these, then we can have $U$ as a function of $t$ only: $$U(t) = U\left(x(t),y(t),z(t),t\right) = E_0\left(R^2 + \alpha\,v^4t^4 -\beta v^2t^3\right)$$ And the full time derivative is: $$\frac{dU}{dt} = \left(4\alpha\,v^4t^3-3\beta v^2t^2\right)E_0$$ I'm leaving it for you to check that you'll have the same result if you use the chain rule together with partial time derivative $$\frac{dU}{dt} = \frac{\partial U}{\partial t} + \frac{\partial U}{\partial x}\frac{dx}{dt} + \frac{\partial U}{\partial y}\frac{dy}{dt} +\frac{\partial U}{\partial z}\frac{dz}{dt}$$
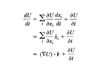
The function $U = U(x_1, x_2, \dots x_k, t)$ would be an example of a potential energy function explicitly dependent on time. In your case, you have the function $U = U(x_1, x_2,\dots x_k)$, where it is understood that for each $x_i,\, i \in \left\{1,\dots k\right\}$, we have an implicit dependence $x_i = x_i(t)$. The total derivative of $U$ is $$dU = \sum_i \frac{\partial U}{\partial x_i}d x_i + \frac{\partial U}{\partial t}dt$$ and furthermore, $$\frac{dU}{dt} = \sum_i \frac{\partial U}{\partial x_i}\frac{d x_i}{dt} + \frac{\partial U}{\partial t}.$$
Partial derivative signifies its (functions) explicit time dependence. And since potential energy does not depend on time implicitly its partial time derivative will be zero. Hence we add partial time derivative. Hope it is helpful.