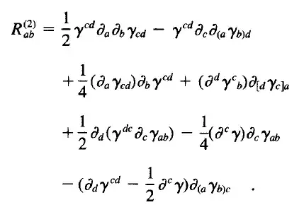
I'm trying to derive equation 4.4.51 in Wald's GR book (the second order correction in $\gamma$ term for the Ricci tensor):

where $g=\eta+\gamma$. So $g^{\mu\nu}=\eta^{\mu\nu}-\gamma^{\mu\nu}+O(\gamma^2)$.
I'm not sure how to proceed, but I got stuck for quite a while:
Take $$\Gamma^{\mu}\,_{\alpha\beta}={}^{\left(1\right)}\Gamma^{\mu}\,_{\alpha\beta}+{}^{\left(2\right)}\Gamma^{\mu}\,_{\alpha\beta}+\mathcal{O}\left(\gamma^{3}\right)$$ where $${}^{\left(1\right)}\Gamma^{\mu}\,_{\alpha\beta}=+\eta^{\mu\nu}\partial_{(\alpha}\gamma_{\beta)\nu}-\frac{1}{2}\eta^{\mu\nu}\partial_{\nu}\gamma_{\alpha\beta}$$ and $${}^{\left(2\right)}\Gamma^{\mu}\,_{\alpha\beta}=-\gamma^{\mu\nu}\partial_{(\alpha}\gamma_{\beta)\nu}+\frac{1}{2}\gamma^{\mu\nu}\partial_{\nu}\gamma_{\alpha\beta}.$$ Writing \begin{align} R_{\mu\rho} = & \partial_{\nu}\Gamma^{\nu}\,_{\mu\rho}-\partial_{\mu}\Gamma^{\nu}\,_{\nu\rho}+2\Gamma^{\alpha}\,_{\rho[\mu}\Gamma^{\nu}\,_{\nu]\alpha}\\ = & \underbrace{\partial_{\nu}\,^{\left(1\right)}\Gamma^{\nu}\,_{\mu\rho}-\partial_{\mu}\,^{\left(1\right)}\Gamma^{\nu}\,_{\nu\rho}}_{^{\left(1\right)}R_{\mu\rho}}\\ & +\underbrace{\partial_{\nu}\,^{\left(2\right)}\Gamma^{\nu}\,_{\mu\rho}-\partial_{\mu}\,^{\left(2\right)}\Gamma^{\nu}\,_{\nu\rho}+2\,^{\left(1\right)}\Gamma^{\alpha}\,_{\rho[\mu}\,^{\left(1\right)}\Gamma^{\nu}\,_{\nu]\alpha}}_{^{\left(2\right)}R_{\mu\rho}}\\ & +\mathcal{O}\left(\gamma^{3}\right) \end{align}
This is what I have so far: my attempt
\begin{align} {}^{\left(2\right)}R_{\mu\rho} = & \partial_{\nu}\,^{\left(2\right)}\Gamma^{\nu}\,_{\mu\rho}-\partial_{\mu}\,^{\left(2\right)}\Gamma^{\nu}\,_{\nu\rho}+\,^{\left(1\right)}\Gamma^{\alpha}\,_{\mu\rho}\,^{\left(1\right)}\Gamma^{\nu}\,_{\alpha\nu}-\,^{\left(1\right)}\Gamma^{\alpha}\,_{\nu\rho}\,^{\left(1\right)}\Gamma^{\nu}\,_{\alpha\mu}\\ = & \partial_{\nu}\left(-\gamma^{\nu\lambda}\partial_{(\mu}\gamma_{\rho)\lambda}+\frac{1}{2}\gamma^{\nu\lambda}\partial_{\lambda}\gamma_{\mu\rho}\right)\\ & -\partial_{\mu}\left(-\gamma^{\nu\lambda}\partial_{(\nu}\gamma_{\rho)\lambda}+\frac{1}{2}\gamma^{\nu\lambda}\partial_{\lambda}\gamma_{\nu\rho}\right)\\ & +\,^{\left(1\right)}\Gamma^{\alpha}\,_{\mu\rho}\,^{\left(1\right)}\Gamma^{\nu}\,_{\alpha\nu}\\ & -\,^{\left(1\right)}\Gamma^{\alpha}\,_{\nu\rho}\,^{\left(1\right)}\Gamma^{\nu}\,_{\alpha\mu}\\ = & \gamma^{\nu\lambda}\left(-\partial_{\nu}\partial_{(\mu}\gamma_{\rho)\lambda}+\frac{1}{2}\partial_{\nu}\partial_{\lambda}\gamma_{\mu\rho}+\partial_{\mu}\partial_{(\nu}\gamma_{\rho)\lambda}-\frac{1}{2}\partial_{\mu}\partial_{\lambda}\gamma_{\nu\rho}\right)\\ & +\eta^{\alpha\beta}\left(\partial_{(\mu}\gamma_{\rho)\beta}-\frac{1}{2}\partial_{\beta}\gamma_{\mu\rho}\right)\eta^{\nu\lambda}\left(\partial_{(\alpha}\gamma_{\nu)\lambda}-\frac{1}{2}\partial_{\lambda}\gamma_{\alpha\nu}\right)\\ & -\eta^{\alpha\beta}\left(\partial_{(\nu}\gamma_{\rho)\beta}-\frac{1}{2}\partial_{\beta}\gamma_{\nu\rho}\right)\eta^{\nu\lambda}\left(\partial_{(\alpha}\gamma_{\mu)\lambda}-\frac{1}{2}\partial_{\lambda}\gamma_{\alpha\mu}\right)\\ = & \frac{1}{2}\gamma^{\nu\lambda}\partial_{\mu}\partial_{\rho}\gamma_{\nu\lambda}-\gamma^{\nu\lambda}\partial_{\nu}\partial_{(\rho}\gamma_{\mu)\lambda}+\frac{1}{2}\gamma^{\nu\lambda}\partial_{\nu}\partial_{\lambda}\gamma_{\mu\rho}\\ & +\frac{1}{4}\eta^{\alpha\beta}\left(\partial_{\mu}\gamma_{\rho\beta}+\partial_{\rho}\gamma_{\mu\beta}-\partial_{\beta}\gamma_{\mu\rho}\right)\partial_{\alpha}\gamma\\ & -\frac{1}{4}\eta^{\alpha\beta}\eta^{\nu\lambda}\left(\partial_{\nu}\gamma_{\rho\beta}+\partial_{\rho}\gamma_{\nu\beta}-\partial_{\beta}\gamma_{\nu\rho}\right)\left(\partial_{\alpha}\gamma_{\mu\lambda}+\partial_{\mu}\gamma_{\alpha\lambda}-\partial_{\lambda}\gamma_{\alpha\mu}\right)\\ = & \frac{1}{2}\gamma^{\nu\lambda}\partial_{\mu}\partial_{\rho}\gamma_{\nu\lambda}-\gamma^{\nu\lambda}\partial_{\nu}\partial_{(\rho}\gamma_{\mu)\lambda}+\frac{1}{2}\partial_{\nu}\left(\frac{1}{2}\gamma^{\nu\lambda}\partial_{\lambda}\gamma_{\mu\rho}\right)-\frac{1}{2}\partial_{\nu}\gamma^{\nu\lambda}\partial_{\lambda}\gamma_{\mu\rho}\\ & +\frac{1}{4}\eta^{\alpha\beta}\eta^{\nu\lambda}(\\ & \partial_{\mu}\gamma_{\rho\beta}\partial_{\alpha}\gamma+\partial_{\rho}\gamma_{\mu\beta}\partial_{\alpha}\gamma-\partial_{\beta}\gamma_{\mu\rho}\partial_{\alpha}\gamma\\ & -\partial_{\nu}\gamma_{\rho\beta}\partial_{\alpha}\gamma_{\mu\lambda}-\partial_{\nu}\gamma_{\rho\beta}\partial_{\mu}\gamma_{\alpha\lambda}+\partial_{\nu}\gamma_{\rho\beta}\partial_{\lambda}\gamma_{\alpha\mu}-\partial_{\rho}\gamma_{\nu\beta}\partial_{\alpha}\gamma_{\mu\lambda}-\partial_{\rho}\gamma_{\nu\beta}\partial_{\mu}\gamma_{\alpha\lambda}\\ & +\partial_{\rho}\gamma_{\nu\beta}\partial_{\lambda}\gamma_{\alpha\mu}+\partial_{\beta}\gamma_{\nu\rho}\partial_{\alpha}\gamma_{\mu\lambda}+\partial_{\beta}\gamma_{\nu\rho}\partial_{\mu}\gamma_{\alpha\lambda}-\partial_{\beta}\gamma_{\nu\rho}\partial_{\lambda}\gamma_{\alpha\mu})\\ = & \frac{1}{2}\gamma^{\nu\lambda}\partial_{\mu}\partial_{\rho}\gamma_{\nu\lambda}-\gamma^{\nu\lambda}\partial_{\nu}\partial_{(\rho}\gamma_{\mu)\lambda}+\frac{1}{2}\partial_{\nu}\left(\frac{1}{2}\gamma^{\nu\lambda}\partial_{\lambda}\gamma_{\mu\rho}\right)-\frac{1}{2}\partial_{\nu}\gamma^{\nu\lambda}\partial_{\lambda}\gamma_{\mu\rho}\\ & +\frac{1}{4}\eta^{\alpha\beta}\eta^{\nu\lambda}(2\partial_{(\mu}\gamma_{\rho)\beta}\partial_{\alpha}\gamma-\partial_{\beta}\gamma_{\mu\rho}\partial_{\alpha}\gamma\\ & -\partial_{\nu}\gamma_{\rho\beta}\partial_{\alpha}\gamma_{\mu\lambda}-\partial_{\nu}\gamma_{\rho\beta}\partial_{\mu}\gamma_{\alpha\lambda}+\partial_{\nu}\gamma_{\rho\beta}\partial_{\lambda}\gamma_{\alpha\mu}-\partial_{\rho}\gamma_{\nu\beta}\partial_{\alpha}\gamma_{\mu\lambda}-\partial_{\rho}\gamma_{\nu\beta}\partial_{\mu}\gamma_{\alpha\lambda}\\ & +\partial_{\rho}\gamma_{\nu\beta}\partial_{\lambda}\gamma_{\alpha\mu}+\partial_{\beta}\gamma_{\nu\rho}\partial_{\alpha}\gamma_{\mu\lambda}+\partial_{\beta}\gamma_{\nu\rho}\partial_{\mu}\gamma_{\alpha\lambda}-\partial_{\beta}\gamma_{\nu\rho}\partial_{\lambda}\gamma_{\alpha\mu}) \end{align}
In my last line, somehow it seems like too many terms cancel out to get what the book has, in particular, there aren't enough $\gamma_{\mu\rho}$ terms..