
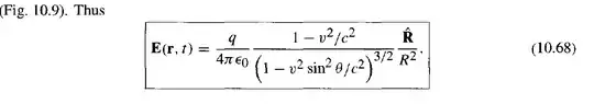
As you see, this is the electric field generated by a point charge moving at constant speed v. I know that when $v$ -> 0, $E$ is just the Coloumb Law. But how do you interpret $E$ when $v$ -> $c$ ?
Can I just interpret it as the field of electromagnetic wave, because it moves at the speed of light?
