QED is an innately relativistic theory since it has massless particles (photons). Thus to take a non-relativistic limit you must remove the photon degree of freedom. This can be done by treating the electromagnetic field as a classical field, i.e. one that isn't quantized. Practically this amounts to only having real (on-shell) photons.
The scalar QED Lagrangian is explicitly
\begin{equation}
{\cal L} = \partial _\mu \phi ^\ast \partial ^\mu \phi - V \left( \phi \right) + \left( i e A _\mu \phi ^\ast \partial ^\mu \phi + h.c. \right) + e ^2 A _\mu A ^\mu \left| \phi \right| ^2
\end{equation}
The procedure for finding the Feynman rules for this theory are the same as for when you quantize $ A _\mu $. The only difference is instead of writing $ A _\mu \sim e ^{ - i k x } a _k \epsilon _\mu + e ^{ i k x} a _k ^\dagger \epsilon _\mu $ you just leave it as a function.
To calculate the Feynman rule associated with the first interaction you can calculate the two point function to first order in $e$ (depending on how comfortable you are with derivative couplings you may just be able to guess the answer),
\begin{equation}
\left\langle 0 \right| T \phi _1 \phi _2 \int \,d^4y ( i e A _\mu \phi ^\ast \partial ^\mu \phi + h.c. ) \left| 0 \right\rangle
\end{equation}
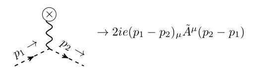
This leads the Feynman rule,
$\hspace{2cm}$
where the $ \times $ denotes the effect of an external field. Note that the external field cannot appear as an intermediate particle since it was not quantized. The $ \tilde{A} _\mu $ is just the Fourier transform of the vector potential of the system. One can analogously calculate the Feynman rule for the second interaction.
Once you have the Feynman rules for scalar QED you go ahead and in principle go ahead derive all of classical electromagnetism (at least acting on spinless particles).
EDIT: Thus far what we have taken QED and reduced it to having a background electromagnetic field instead of single photon interactions. As mentioned in the comments by @LoveLearning this approach isn't complete as we are still allowing relativistic scalars to propagate. However, in the non-relativistic limit these are suppressed. To see why this must be true consider the diagram with two interaction vertices,
$\hspace{5cm}$
This diagram is given by,
\begin{equation}
( 2 i e ) ^2 ( p _1 - p _2 ) _\mu \tilde{A} ^\mu ( p _2 - p _3 ) _\nu \tilde{A} ^\nu \frac{ i }{ p _1 ^\alpha \gamma _\alpha - m }
\end{equation}
But in the non-relativistic limit, $ m \gg p _i $. The propagator suppresses the diagram by a factor of $ 1/ m $. This suppression occurs for every diagram with an off-shell particle. Thus in the non-relativistic limit we can just omit any diagrams with off-shell particles.