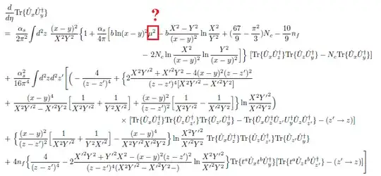
In arXiv:0710.4330v1 Balitsky calculate the eikonal scattering of dipole composed of quark anti-quark, $Tr(U_{x}U^{\dagger}_{y})$, to NLO accuracy. The result he found is:

Where $\mu$ is the normalization point in the MS bar scheme. I have already read the discussion Why do we expect our theories to be independent of cutoffs? and understood the observable cannot depends on the cutoff. While $Tr(U_{x}U^{\dagger}_{y})$ is observable, taking the derivative according to $\eta$ should produce an equation which is independent of the cutoff (at least naively). Why is it still there? any idea?