Let's have a go at doing the calculation for the Schwarzschild metric. I'm going to assume the particle is moving radially because otherwise the algebra gets hairy, but I won't make any restriction on the velocity. Because $d\Omega = 0$ the metric simplifies to:
$$ c^2d\tau^2 = c^2 dt^2 (1 - \frac{r_s}{r}) - \frac{dr^2}{1 - r_s/r} $$
When we say the velocity of the particle is $v$ we mean that in our coordinates $dr/dt = v$ so we can substitute $dr = vdt$:
$$ c^2d\tau^2 = c^2 dt^2 (1 - \frac{r_s}{r}) - \frac{v^2 dt^2}{1 - r_s/r} $$
or:
$$ d\tau^2 = dt^2 \left(1 - \frac{r_s}{r} - \frac{v^2}{c^2}\frac{1}{1 - r_s/r} \right) $$
If we graph the ratio of $d\tau/dt$ as a function of $v/c$ we get (this is at $r = 4r_s$):

The magenta line shows the expression I've derived above, and the blue line shows what you get by multiplying the Schwarzschild time dilation factor by the Lorentz factor.
The two curves are obviously different apart from the stationary case when $v = 0$. However there's something odd because the time dilation goes to infinity when $v/c = 0.75$, and remember this is at $r = 4r_s$ so we are well outside the event horizon. The reason for this is that for the Schwarzschild observer the speed of light reduces as you approach the event horizon. For a radially travelling light ray the velocity in the Schwarzschild coordinates is:
$$ v_{light} = c \left(1 - \frac{r_s}{r} \right) $$
So at $r = 4r_s$ an object travelling at $0.75c$ is travelling at the same speed as light and therefore the time dilation is infinite.
Response to comment:
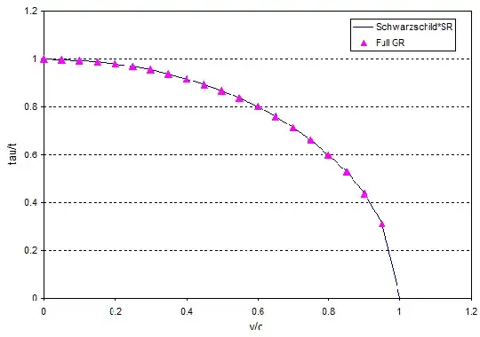
I'll do the calculation at the Earth's surface where the curvature is greatest. The Schwarzschild radius of the Earth is a shade under 9 mm, so the ratio $r_s/r$ at the surface is $1.39 \times 10^{-9}$. Using this value of $r_s/r$ the graph looks like:

There is basically no difference between the two calculations, but this is because the gravitational time dilation is negligable so only the Lorentz factor matters. Still, it's reassuring to note that my calculation derived from the Schwarzschild metric does match the Lorentz time dilation :-)