38

Dividends are paid to share holders based on ownership of shares before the “ex-dividends” date.

Example:

Stock A has an ex-date of July 1st

Stock B has an ex-date of July 15th

Stock C has an ex-date of August 1st

Is it legal to buys Stock A on June 30th, sells it on July 2nd, then buy Stock B on July 14th, sells it on July 16th, then buys Stock C on July 30th, sells it on August 2nd... and continues this process to “mine” dividend payouts?

Is this a strategy that is used by investors? Why or why not?

Eliot G York
  • 491
  • 1
  • 4
  • 6

9 Answers9

61

Is it legal to buys Stock A on June 30th, sells it on July 2nd, then buy Stock B on July 14th, sells it on July 16th, then buys Stock C on July 30th, sells it on August 2nd... and continues this process to “mine” dividend payouts?

Yes it is legal to do this. If a person is allowed to buy and sell shares they can do exactly this. They still have to follow any of their brokers rules and pay any applicable tax laws, but they are free to use the dividend payment schedule to guide their investment strategy.

Is this a strategy that is used by investors? Why or why not?

As mentioned above it is a strategy. Does it make sense? Not really. If the price of the stock goes down essentially equal to the dividend then the price a few days later will probably be lower than the purchase price making the transaction a loss. When factoring in any transaction fees it is even more likely to be a loss.

mhoran_psprep
  • 148,961
  • 16
  • 203
  • 418
28

You can buy any or all of those stocks if you have the cash (or margin) to do so. But why would you, just because they pay a dividend?

Suppose you buy stock (A) at the close today for $100 and tomorrow it pays a quarterly dividend of $1. Tomorrow's adjusted close will be $99. If there is no buying or selling pressure when trading resumes in the morning, you will only be able to sell your stock for $99, incurring a $1 capital loss. So it's a $1 loss and $1 in dividends to be received on the Payable Date. It's a wash.

To add insult to injury, if this is a non sheltered account and there are no country specific tax credits, you'll have to pay a tax on the dividend which is really just a return of your own money from your brokerage account. Now you are an investor in stock (A), hoping that it recovers to $100 so that you can break even on the stock and your $1 dividend will then become true income.

A dividend is not FREE money. If it was, no one would invest. They'd buy the stock at the close and sell first thing in the morning, repeating the process as fast as cash account trade settlement allowed or just non stop every day if in a margin account. Over the long haul, regardless of what the market did, there would be an expected profit because after all, it's FREE money. Unfortunately, easy money via Dividend Capture only occurs on the FANTEX (the Fantasy Exchange).

Bob Baerker
  • 77,328
  • 15
  • 101
  • 175
10

There have already been good answers explaining that your strategy is neither illegal nor profitable, but no one has explained what forces the stock price to drop ex-dividend.

Dividend arbitrage. Arbitrage means (more or less) riskless profit.

Here's an unrealistic, simplified version:

Let's say there's a stock selling for $100 today. Let's say it will pay a $1 dividend in one month. And let's pretend you can enter into a forward contract to buy or sell a share on the ex-dividend date for $100. Then you should buy as many shares today as you can and enter into a forward contract to sell them ex-dividend. Then you'll buy at 100, sell at 100, and collect the dividend. Riskless profit! Many other people know this, and so they will do the same thing. This arbitrage will cause the (spot) price of the stock to rise and the forward price to fall until (not surprisingly) the difference between the two is $1.

Another simple arbitrage will cause the forward stock price on the ex-dividend date to equal the actual stock price on the ex-dividend date.

Thus, the actual stock price will drop by $1 when the dividend is paid.

This only works if your stock has a forward contract available that matures on the stock's ex-dividend date. In reality, that might not be true, but there are typically stock options of varying expirations. And it turns out that they can be used for similar purposes, although it might not be obvious at first.

As a practical matter, the size of a dividend is typically smaller than the daily volatility of the stock, so it's hard to see the drop in all the noise. But when a stock pays a large special dividend like Microsoft did in 2004, the drop can be quite noticeable.

If the technical details of this dividend arbitrage aren't clear to you, just rest assured there are plenty of people out there who know a lot more about this than you and who have a lot of resources. It's useful to keep in mind the saying: "There's a patsy in every game. If you look around and don't know who it is, it's you."

Endy
  • 401
  • 2
  • 4
5

It is perfectly legal to buy and sell a company's stock before/on/after ex-dividend dates.

In some countries, such as Australia, there exists a tax system called "Dividend Imputation". What this means is that any (previous) company tax paid (Australian company tax rate = 30%) to the Government can be "franked" against the dividend paid, such that the investor/trader receives a credit for the proportion of company tax already paid against each share. Each company is able to declare any portion of its "franking credits" already paid to the Government at its discretion.

On 1 Jul 2000 (FY2001), the Australian Taxation Office amended this rule so you had to hold the stock for at least 45 calendar days (it's a little more complex than this when it comes to hedging/derivatives).

Given we deal with Australian traders/investors, many of them ask questions about dividend stripping strategies which incorporate this technique, so it is certainly a well-used technique, at least in Australia.

For other countries that are "double taxed" such as USA, queries to us are more based around high dividend yield stocks than anything else.

In terms of what types of strategies traders/investors use and actually execute successfully - well that's the "$64,000 question"!

Richard at NorgateData
  • 3,934
  • 2
  • 16
  • 24
4

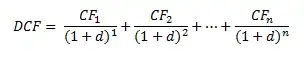
I think to really help you understand why this is unlikely to work, we need to talk about the value of a stock. In finance theory, the intrinsic value of any instrument is function of is the present value of it's future cash flows. For stocks that basically means dividends.

A common approach is to use the discounted cash flow model. In a nutshell, future money is worth less than today money so you count the $1 dividend next quarter as being worth less than the $1 dividend today. Formally as shown in Investopedia:

DCF from Investopedia

Where:

CFn = Cash flows in period n.

d = Discount rate, Weighted Average Cost of Capital (WACC)

Don't worry too much about the technicalities around d. The important thing here is the exponent on the denominator: the farther out the cashflow, the bigger the denominator and the less it counts towards the present value.

So bringing this back, the day before the ex-dividend date has a future cashflow that's not far off in the future. After that date, that dividend is no longer a future cash flow and is not part of the valuation. That is: the valuation is reduced by some amount that is relatively close to the dividend payment. It's also the case that the company's assets have been reduced but that's not really accounted for here.

I want to emphasize that it's extremely difficult to use this model for stocks that do not pay dividends and have not announced any intention to do so for the foreseeable future. Even for stocks that do pay dividends, it's impossible to know that they will continue to do so or at what level. It also requires plugging in a lot of your own assumptions / beliefs / guesses. So don't get too wrapped around the formula or think that figuring out the fair price of a stock is little more than plugging numbers into this (or some other) formula. Reality is far more complex than the model. Having said that, these models do have validity and usefulness on their own.

So the upshot is that theory tells us that if the market is efficient, you the price of the stock will drop by the reduced value of the company after the dividend payment is made and that you can't make money on such a transaction. However, if you can identify a inefficiency in the market, you could potentially make an arbitrage play and make money. However, you'd have to beat all the other market players to the punch.

1

The short answer is yes it is legal, but won't net you any result.

The longer answer is that technically the same day a stock goes ex-dividend the share price will fall by the amount of the dividend, as such there is no way to profit. If there was an arbitrage opportunity, as you are suggesting, many would take advantage of it instantly, and it wouldn't exist any more.

Now that being said, there are examples of illiquid stocks that do not drop by the dividend when the ex-date arrives. It is possible you would be able to trade small amounts of money in these stocks and receive the dividend without losing the capital gain.

I've previously discussed these high yield dividend stocks that you could try this out on, but beware it may not be a successful strategy. Good luck!

1

What everyone else said is absolutely true but the reason for the price change is not even just because investors "know" about the dividends and change their bids.

The exchanges themselves will automatically adjust buy/sell orders to reflect that dividend on the ex-dividend date (the point at which buying a stock no longer entitles you to the dividend). If I bid $10 for a stock priced at $10.05 and a $0.10 dividend goes out lowering the price to $9.95 my bid will be automatically lowered to $9.90 to reflect the reduced stock price because of the dividend.

The same is true for stock splits, stock dividends, etc. or any other action that will change the price of the stock directly.

TheSaint321
  • 431
  • 3
  • 5
0

I'll try to explain why it's legal but not a good idea from a different approach.

Assume for a moment that it was a good idea. Guaranteed money ripe for the taking. On a given day for a stable stock there are X buyers and X sellers. Well, now you have X+1 sellers. In order to equalize the number of buyers and sellers, you now need to lower your price a little. Now that's fine, you're still making a lot of money.

Now factor into this price reduction all the other people that are using this guaranteed money source. The price drops but everyone still makes a little money. Add more people and the price drops so much you actually lose money! This forces some of the people out. Equilibrium is achieved.

You could try to outsmart the system by waiting for the stock to rebound after the drop, which it will for sure, otherwise every stock ever would drop by 1% every 3 months!! So you wait to find the perfect time to sell after the drop, but every day you wait is a day you're not moving on to the next guaranteed money and cutting into your return. In general you find once equilibrium is achieved most of the various options tend to yield about the same amount of return (at least, the good ones...)

corsiKa
  • 539
  • 5
  • 12
0

Some real world experience to add to this: While I haven't done an exhaustive study on all stocks, in the higher-volatility low-price stocks I generally work with, you'd actually be better off doing the opposite. Most of the time, I see a stock price rise about 1 to 1.5x its dividend on the lead-up to the EX date, and then drop by 1.5 to 2x its dividend after the deadline. The drop is usually temporary, and then the stock goes back to its normal trading level. As a result, if you can tolerate the risk and want to grind out in sufficiently high volume, the opposite strategy would yield more: Sell the stock the day before the dividend's ex-date and then buy it on the short and temporary drop the next day.

JKreft
  • 101
  • 1