Making the advisable assumption that the quoted interest rate is the effective annual rate, then compounding daily or monthly will make no difference, e.g.
r = effective annual interest rate = 3% = 0.03
dailyrate = (1 + r)^(1/365) - 1 = 0.0000809863
monthlyrate = (1 + r)^(1/12) - 1 = 0.00246627
$1,000 for one year at daily rate = 1000*(1 + dailyrate )^365 = $1,030
$1,000 for one year at monthly rate = 1000*(1 + monthlyrate )^12 = $1,030
If your interest rate is not the effective rate but a nominal rate you should convert it. See the effective interest rate calculation (link). By referring to the effective interest rate, confusion from mixing nominal daily rates and nominal monthly rates can be avoided. (See also APR.)
Next, the main criterion is to match the compounding rate to the deposit frequency.
I note you wanted to compare $240 weekly vs $1,040 monthly. I have just run one calculation for $240 monthly, but using the method below it should be straightforward to run your comparison.
Based on a similar question here (link), the annuity can be calculated using the following values:
p = initial value = 12,000
n = compounding periods per year = 12
r = effective annual interest rate = 3% = 0.03
i = periodic interest rate = (1 + r)^(1/n) - 1 = 0.00246627
y = number of years = 3
t = number of compounding periods = n*y = 12*3 = 36
d = periodic deposit = 240
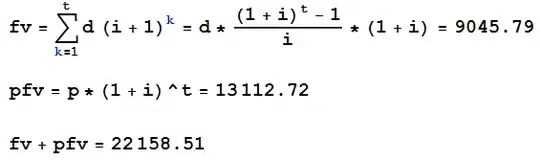
The formula for the future value of an annuity due is d*(((1 + i)^t - 1)/i)*(1 + i)
See Calculating The Present And Future Value Of Annuities
In an annuity due, a deposit is made at the beginning of a period and the interest is received at the end of the period. This is in contrast to an ordinary annuity, where a payment is made at the end of a period.
The formula is derived, by induction , from the summation of the future values of every deposit.
fv is the future value of all periodic deposits
pfv is the future value of the principal (initial value)

The initial value, with interest accumulated for all periods, can simply be added, as shown.
If the interest rate is reduced to 2.9% after two years it will affect the future value of the periodic deposits like so:
r2 = 0.029
i2 = (1 + r2)^(1/n) - 1 = 0.00238513

This can also be found using the annuity formula:

The future value of the $12,000 principal will also be affected by the rate change.