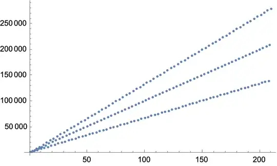
Suppose I start with a $1,000 trading account.
During each 30 day period my account earns $1,000 in net profit from a trading strategy using one contract per trade.
The max amount lost across any series of consecutive days during the 30 day period averages to 25% of the total net profit, so in this case $250.
The maximum I am willing to risk seeing my account dip is by 25% across all consecutive losing days.
My account would now be at $2000 after 30 days, increasing the tolerable consecutive loss threshold to $500.
If this rate of growth continues steadily at $1000/month growth, then by the end of 90 days I will have $4,000 and a loss buffer of $1,000.
At this point, I want to add an additional contract to my trades. Now each 30 days returns $2,000.
Eventually the account will reach $8,000 of which $2,000 is 25%. At this point I will increase the number of contracts per trade to 3 which means earning $3,000 per 30 days.
How would I express this growth in a spreadsheet (Excel, Google Sheets) equation if I wanted to project which dates in the future would result in a specific number of contracts, account balance, and trading profit per month assuming everything holds steady?

