I would like to buy a car, and found out about the 20/4/10 rule today. I definitely have more than 20% downpayment saved up, due to that I am not concerned with the 20 part. I am more concerned about the 4/10 part.
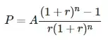
Given the rate(r), time(t), and payment frequency(f) I want to find how much money I will end up spending at the end of the 4 years AND how much of that money will be interest paid.
So far I know that the best interest rate I can get is 4.7% (annual whatever that means) for 4 years. And I know that I can make monthly payments of 303$ per month. So given this info, how much money would I have paid by the end of the 4 years, and how much of it would be lost paying off interest. Would that number change if I change from 303$ monthly payment to 140$ bi weekly or 70$ weekly?
I actually do not want anyone to solve my problem for the numbers I provided, I am more interested in what math is involved and what formula is used to calculate this information. Unfortunately due to my poor mastery of English language I couldn't google proper terms needed to find an answer. All the answers I find seem to know the amount loaned, but I want to know how much I will be able to take out as a loan given only rate(r), time(t), and payment frequency(f).
