7

It's now properly winter over here in Australia, and the butt dyno is very favourable of the cold, dry air. It's like a free cold air intake for everyone, right??

I can think of two scientific reasons as to why this may be:

1. Increased air density

Given constant pressure (which seems accurate), the temperature of the air is inversely proportional to the number of air molecules. So colder air means more molecules, and more air molecules means more energy released in each combustion cycle. A drop from 30 C to 0 C is roughly a 10% drop measured in Kelvin, which suggests 10% more energy for each combustion cycle --> 10% more horsepower!

2. Decreased humidity

Water molecules in air can't be particularly helpful for combustion, as those molecules need to heat up but don't combust. 100% humidity seems to correspond to 2.8% water to air ratio - a potentially substantial amount.

However, theories can't be relied upon without taking everything else into account, e.g. an engine may not even adjust for the increased air density, and thus run lean.

So, does anyone have some reliable data on the impact of cold, dry air on engine performance?

andrewb
  • 1,056
  • 6
  • 14
  • 22

7 Answers7

12

tl;dr: Cold dry air has a substantial effect on horsepower. This can be confirmed through experimentation on any modern car.

I can think of two scientific reasons as to why this may be:

  1. Increased air density

  2. Decreased humidity

Yes and yes. You're already most of the way there.

Let's take a quick trip to simplified theoretical model land:

  1. The engine runs on oxygen molecules.
  2. Density of the air determines how many oxygen molecules we have to work with.
  3. Ergo, we want to maximize the density of the air.

In your example, we have two knobs that we can turn on our theoretical model: temperature and humidity. That second becomes confusing quickly when we realize that humidity affects the heat capacity of the air. That's a perplexing concept (heat, temperature, aren't they the same?!) until you realize that specific heat is almost like mass: the more specific heat a thing has, the harder it is to change its temperature.

Practical example: turn on a gas stove to max. Put your hand directly over the burner. Note the near instant first degree burns: the air over the grill heats up very fast. Put a five gallon pot full of water on the same burner (hey, it takes a lot of water to make beer!). Put your hand in the pot all the way down to the bottom (not touching). Note that you're the same distance that you were from the burner but no burns! The water has a higher specific heat and is much more sluggish in changing temperatures.

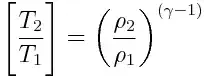
So, that was fun. Why do we care? We care because, if you're trying to maximize density, you're starting with this ideal gas law equation:

\Bigg\lbrack \frac{T_2}{T_1} \Bigg\rbrack = \left (\frac{\rho_2}{\rho_1} \right )^{(\gamma - 1)}

Where

  • T = temperature
  • rho = density
  • gamma = the ratio of specific heats (constant pressure / constant volume)

... except that you suddenly realize that this is no longer an ideal gas: gamma is not constant since you're changing the humidity. Check the first two lines of the table of specific heat entries for two examples for air that are similar to the ones that you suggest. The constant pressure heat capacity jumps quite a lot between the two lines, largely due to the increase in humidity: 40.85% humidity is cited as being 1.16% water vapor content. If you look further down that chart, you see what we expected: the specific heat of water is much higher than air, all of which eventually brings us back to the fact that higher humidity air results in lower useful density of oxygen for our engine to work with.

... deep breath ...

So what? Why don't highly tuned engines break when the air gets cold and dry? Why can I drive my turbo car at sea level in the winter and in the mountains (well, we call them mountains) in the humid summer?

The short answer is that the engine computer is pretty smart. It isn't living in theoretical model land. It has quite a few more sensors measuring plenty of things that I've ignored above. As a result, it isn't trying to solve for the correct values to match the model: it's setting tuning parameters on the engine and then monitoring the results. Consequently, it makes an effective numerical approximation of all of the above that:

A. Makes your car run pretty well, providing you with the best possible mileage and power at its disposal.

B. Doesn't blow up on a winter day.

Bob Cross
  • 24,537
  • 11
  • 85
  • 166
1

You are absolutely right. I remember a few years ago a Formula 1 commentator mentioned that the cold conditions in the morning is why the drivers were seeing their lap times had improved by as much as 1 second, which is a lot in Formula 1.

Also, an intercooler cools air down to make it more dense, which in turn makes more power, so obviously your theory is supported by the motor industry.

Mind you, with regards to humidity, when people start doing crazy things with turbo engines they sometimes add water injection kits that spray a fine water mist into the combustion chamber to absorb heat to help increase the density further and also prevents catastrophic meltdowns. Other tuners may use a richer running tune to utilise excess fuel to absorb heat. This fuel is wasted, so you could theoretically spray basically any liquid into the cylinder, as long as it doesn't interfere with combustion or lubrication. With that in mind, I think cold, humid air might just be better than cold, dry air.

My knowledge begins and ends with turbo-petrol engines, so if anything doesn't apply to NA or diesel engines, let me know.

Captain Kenpachi
  • 8,888
  • 3
  • 26
  • 43
1

There's another factor regarding humidity which is that water air expands/collapses per degree of temperature change a hugely, so its presence in the combustion chamber increases the pressure of the explosion.

A friend of mine experimented with a water injection system on his (carburettor) car while studying for an engineering degree. He reported better economy and power, but it it was hard to set up & effectively needed its own management system (another carburettor just for the water) so he gave up.

If the lower ambient temperature is accompanied with rain or wet conditions, you'll also get this effect for free as the air/water is already mixed for you :-D

1

Well all I can put in on that is that I live in central Queensland, we average 35 to 42 in the summer and let's say (early morning), to day average 3 to 18 in winter. Unless we get rain it is also extremely dry here for 90% of the year. Basically desert weather... When it's hot it HOT! When it's cold it's cold! But very dry.. All I can say is early morning when it's crisp the responsiveness and torque is neck snapping... Summer morning. But in the heat of the day I definitely notice my car will become quite sluggy. So in a nutshell from my experience, dry cold air is better and will always gain.

Nick C
  • 28,941
  • 8
  • 56
  • 109
Munga83
  • 11
  • 1
0

My turbo car always suffered from spark knock / retarded timing & boost in the summer heat. Once I added a conservative water injection system (two nozzles, one pre intercooler and one in the throttle body elbow) it completely eliminated the spark knock in all rpm & load conditions. I was able to run full boost (the max my turbo could handle) even in 90+ degtee summertime weather. "Free" power and never a problem with it. It was no harder to install than most other tuner kits like nitrous. A couple nozzles, nylon tubing, water source, wot switch or boost pressure activation, connect to battery, done. I am obviously a big fan of water injection, it absolutely makes a difference and is relatively safe and cheap compared to just dumping more fuel or spraying nitrous. :) On my upgraded turbo I hated when the computer lowered the boost when the intake air was hot. Problem solved.

John
  • 11
0

In the mid 1960"s when I was 17 years old I rode an old 1935 ,two stroke, Sun Motorcycle, I lived in part of the UK which is in winter subject to very humid conditions at a certain time of the year. ( a wet cold heavy misty fog) I noticed on this particular road I used to travel on frequently that my bike would go 7 miles an hour faster on the nights in winter when this heavy misty fog descended. Anyway I was intrigued by this and visited the University library where I read that in WW2 certain UK fighter planes were fitted with a water injector . If the pilot had to get out of a very tricky situation when fighting a Nazi plane then he could push the "water" button and a spray of water mist would be injected into the incoming air flow into the fuel carburetion system of the plane (to enable him to accelerate fast) Regards Roderick

Pᴀᴜʟsᴛᴇʀ2
  • 165,084
  • 32
  • 259
  • 508
0

The key performance parameter is the number of O2 molecules per unit volume. So if at a lower elevation, where the air is denser, then there are more O2 molecules per unit volume than at a high altitude.

It is important to note that water vapor does not offer O2 to aid the combustion process, so it in effect dilutes the amount of O2 per unit volume. Kind of like having more nitrogen or some other gas, which does not aid the combustion process.

A turbocharger, or other blower, lowers the density altitude, creating more O2 molecules per unit volume. A restrictive air filter creates a pressure differential, causing at lower manifold pressure (due to flow losses at the filter) causing less O2 molecules per unit volume.

In the end, power is a function of the amount of fuel one can effectively burn per unit time. O2 is essential to burn more fuel. Water displaces O2. Colder temperatures increases the density of O2 per unit volume.

mongo
  • 2,115
  • 10
  • 17