You ask about a 3rd order Bessel yet you show a 2nd order schematic. First you need to determine the transfer function based on your requirements. And, since this is a Bessel filter then you should know that, usually, these filters are not built for their -3 dB corner frequency but for their flat group delay.
Because you are using that table, which comes from "Opamps for everyone, Ron Mancini" (freely available, last I checked), I'll assume you are looking for a Bessel filter that satisfies a -3 dB @ 225 Hz (as per the poles displayed in your results from the Okawa-Denshi site).
First, start with the 3rd order lowpass prototype Bessel (see this for a table of coefficients):
$$H(s)=\dfrac{15}{s^3+6s^2+15s+15} \tag{1}$$
To find out the -3 dB point you need to solve for \$\omega\$ in:
$$|H(j\omega)|^2=\dfrac12\quad\Rightarrow\quad\omega=2\pi 1.756\;\text{rad}\quad\Rightarrow\quad f_c=1.756\;\text{Hz} \tag{2}$$
Since it's a 3rd order you'll get 6 values, but 4 of them will be complex conjugate, while the 5th will be negative; so, the 6th remains (2). Alternatively, you can use a root-finding algorithm. Since the circuit you're showing is only a 2nd order you need to factor the transfer function into 2nd order stages, with an additional 1st order if the order is odd. For this case it's a 2nd order and a 1st order, and you do that by solving for the roots:
$$\begin{cases}
s_{1,2}&=-1.8389\pm j1.7544 \\
s_3&=-2.3222
\end{cases} \tag{3}$$
These poles need to be scaled with the value of \$f_c\$ from (2), after which the transfer function is recreated to have the 2nd and 1st order stages:
$$\begin{align}
&\begin{cases}
s'_{1,2}&=-1.0472\pm j0.9991 \\
s'_3&=-1.3224
\end{cases} \tag{4} \\
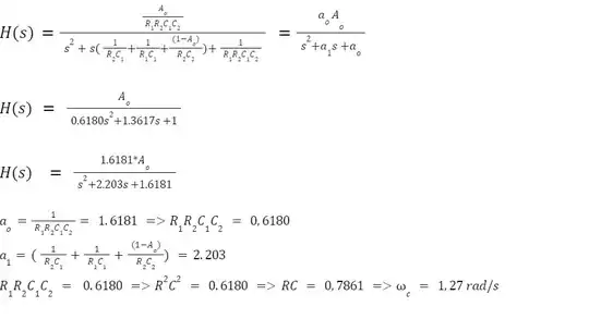
A(s)&=\dfrac{1.3224}{s^2+1.3224} \\
B(s)&=\dfrac{2.0948}{s^2+2.0944s+2.0948} \\
H'(s)&=A(s)B(s) \tag{5}
\end{align}$$
The second part is what you can use with the circuit you provided, by first considering that the \$2.0948\$ term in \$B(s)\$ represents \$\omega_{\text{2nd}}^2\$, therefore \$f_{\text{2nd}}=\sqrt{2.0948}\cdot 225=325.65\;\text{Hz}\$. It is this frequency that you need to use for the filter, together with the quality factor calculated as:
$$Q_{2nd}=\dfrac{2.0944}{\sqrt{2.0948}}=0.76$$
The problem comes with the gain for that particular topology (Sallen-Key): it's restricted due to its transfer function, you can see that the term \$k\$ appears in the coefficient for the \$Q\$.
Therefore, you could try a different topology, for example the multiple-feedback (on the same site) which is also more stable. You should know that Sallen-Key has a particularly annoying "feature": at high frequencies, the feedback capacitor has a low impedance and the output appears more and more at the input, causing a high-pass response. I warmly recommend simulating that, because words do not do it justice. I'll leave it to you to discover.
Another reason why I propose the multiple feedback is because now you can keep the whole gain, 4.75 (as it appears from your circuit), which means that for the 1st order stage you don't need another opamp and, instead, you can simply use an RC lowpass. You'll ned to be careful with the values to avoid the loading effect but, it can be done to a certain extent. So, for \$A(s)\$, the frequency needs to be \$\sqrt{1.3224}*225=258.74\;\text{Hz}\$.
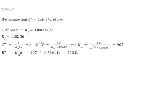
Finally, with that much talk out of the way, you can build the filter:

I've chosen a multiple-feedback because the gain would have been impossible for Sallen-Key. There are two ways to do it with only one opamp: the unbuffered 1st stage is at the input (V(out1)), or at the output (V(out2)). Compare how they fare against the ideal transfer function (V(test)). Due to the loading effect, out1 is slightly distorted (look at the group delay, it has a slight peak), whereas out2 is better behaved but, only because it has no load. If, however, that load happens to be a high impedance input (such as another opamp) then you're scott-free because out2 and test are very similar. The gain might be slightly different.