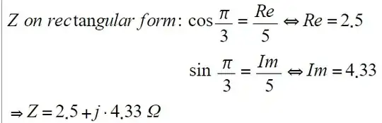
The voltage over a coil is u(t)=100⋅sin(100t+pi/3) V and current through it i(t)=20⋅sin(100t).
First off let's calculate the impedance, I'm quite sure I'm correct on this one.
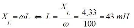
This is where I get stuck because now I need to calculate resistance of the coil and inductance.
I know that Z=jwL, w=100 (from the sine functions) and then I can get L to be Z/jw. The problem here is that Z has an angle. I cannot figure out how to get over that problem. I'm also confused about calculating the coil's resistance, because the impedance is in ohms. Isn't that the resistance then?


