When it comes down to writing transfer functions, it is important to adopt the correct low-entropy format. By low-entropy - a term forged by Dr. Middlebrook - I imply an expression in which you immediately see if there are poles, zeros, gains or a resonance without the need of reworking the expression.
To meet this goal, the best way is to format the formula accordingly by understanding that the factors of \$s\$ are time constants expressed in seconds in a first-order system. For instance, a 1st-order transfer function given in text book as \$H(s)=\frac{s+3}{s+6}\$ can be advantageously rewritten by factoring 3 and 6 as follows:  \$H(s)=H_0\frac{1+\frac{s}{\omega_z}}{1+\frac{s}{\omega_p}}\$ in which \$H_0=\frac{3}{6}=0.5\$, \$\omega_z=3\;\mathrm{rds/s}\$ and \$\omega_p=6\;\mathrm{rds/s}\$. From this expression, you see that you have a 6-dB attenuation in dc for \$s=0\$, one pole and one zero located in the left half-plane (LHPP or LHPZ) because of the 1+\$s\tau\$ type of writing. Should you have 1-\$s\tau\$ then the pole or the zero is in the right half-plane (RHPP or RHPZ). Finally, in a 1st-order system, the pole is the inverse of the natural time constant \$\tau\$ obtained when the excitation (the stimulus) is zeroed: \$\omega_p=\frac{1}{\tau}\$.
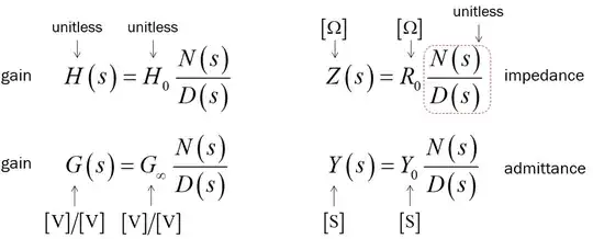
In the expression we have seen, \$H_0\$ has the dimension of a gain while \$\frac{N(s)}{D(s)}\$ is unitless. Therefore, the following format naturally comes in mind when dealing with different types of transfer functions:

The leading term carries the unit of the transfer function, if any.
Another interesting concept is the inverted zero or pole. Take the transfer function of a type 2 compensator which features a pole at the origin plus one zero and one pole. The pole at the origin gives gain at dc while the distance between the zero and the pole sets the phase boost you need at the selected crossover frequency in a control system you want to stabilize. The classical expression is \$G(s)=\frac{1+\frac{s}{\omega_z}}{\frac{s}{\omega_{p0}}(1+\frac{s}{\omega_p})}\$. If this expression is perfectly accurate, it is not formatted to serve its purpose: provide gain at some frequency (to compensate the power stage) and phase boost to build enough phase margin. An interesting way of formatting the formula consists of factoring \$\frac{s}{\omega_z}\$ in the numerator and rewrite the expression:
\$G(s)=\frac{\frac{s}{\omega_z}}{\frac{s}{\omega_{p0}}}\frac{1+\frac{\omega_z}{s}}{1+\frac{1}{\omega_p}}=G_0\frac{1+\frac{\omega_z}{s}}{1+\frac{s}{\omega_p}}\$ in which \$G_0=\frac{\omega_{p0}}{\omega_z}\$ and has a dimension of a gain. The numerator \$N(s)=1+\frac{\omega_z}{s}\$ contains this so-called inverted zero. Owing to this form, you place the pole and the zero to create the boost you want and by adjusting the 0-dB crossover pole \$\omega_{p0}\$ you set the gain to the value you want. This is what is called a design-oriented analysis or D-OA as Dr. Middlebrook promoted it: you express the transfer function so that it serves the purpose of designing a circuit with specifics like gain, resonance, phase response and so on. If all these data are embedded in a formula which does not give insight because of its messy arrangement, you'll need more energy to rework it until it matches your need. This lays the foundation of the fast analytical circuits techniques or FACTs.
You can learn more about analyzing circuits and writing transfer functions by looking at the seminar I taught at APEC in 2016.