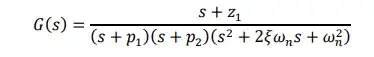
I have the following diagram of a system's step response:
I'm having trouble understanding how to calculate the system's transfer function for fourth order. hir: How do I find the second order transfer function from this step response diagram? I have learned how to do it for the second but I do not know how to calculate this for the fourth order.

