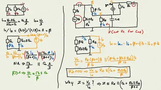
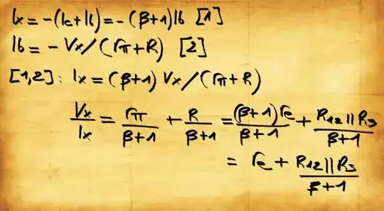
In a lot of reference I see divergence like Zce = RE || (beta re + Rb || Rs) / (beta + 1) etc. $$Z_{ce} = R_E || \left(\frac{\beta.r_e + R_b || R_s}{\beta + 1}\right)$$
See link 1, link 2, link 3, link 4
but from a trivial example I get
Zce = RE || (beta re + Rb || Rs) / (beta) $$Z_{ce} = R_E || \left(\frac{\beta .r_e + R_b || R_s}{\beta}\right)$$
Note : with that, i get the same result than here with the result of Electronic Devices and Circuit Theory, by Boylestad and Nashelsky.
Note : I know with beta >= 100 it is the same but i like to have a rigourous demonstration.
Do you think it is a good reasoning here ?










