1

How would I derive the transfer function of this circuit in terms of its corner frequencies?

circuit

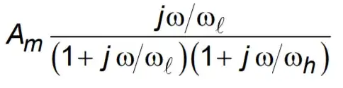
Edit: The solution I am trying to derive is the following

Transfer Function

Am Wl Wh

dilinex
  • 183
  • 1
  • 8
  • This looks like homework. Show your attempt and we may advise, but we don't supply complete solutions. – Chu Oct 26 '19 at 18:01
  • @Chu It is not homework but it is a general question I have. – dilinex Oct 26 '19 at 18:05
  • Still, either show us your work, or tell us what background you do have. Do you know what a Bode plot is? Do you know how to figure out the corner frequencies of that circuit? – TimWescott Oct 26 '19 at 18:33
  • Wouldn't $\frac{V_o}{V_i}=\frac{R}{R+s L +\frac{1}{s C}}$? Are you able to transform this into standard form and then develop the quadratic solutions? – jonk Oct 26 '19 at 20:19
  • @jonk I can derive that solution already, but I can not seem to derive the transfer function in terms of its corner frequencies. – dilinex Oct 26 '19 at 20:32
  • @dilinex Are you aware that there are three important subdivisions of the problem? (Critically damped, underdamped, and overdamped?) – jonk Oct 26 '19 at 20:34
  • If you have already derived that solution, show us , and also show how much further you've got. Otherwise we solve the problem for you incrementally. – Chu Oct 26 '19 at 22:02
  • @dilinex I recommend you read through this wiki page. It really does cover a lot. But I may decide to write up something if no one else bothers. Doesn't matter if it solves your dilemma because your question is actually a good segue into offering a simple walk-through that may help others and provide a link here for that purpose. (Assuming what I write isn't subsequently torn to shreds, anyway.) – jonk Oct 27 '19 at 02:39
  • @dilinex Here's another good reference to read. It covers a lot for you. If you still feel you need to see a walk-through, I'll give it a shot. But between the two references -- and especially this last one -- most stuff is covered pretty well. I'd write differently. But that doesn't mean better. Anyway, let me know. – jonk Oct 27 '19 at 05:41

3 Answers3

4

In your case, the transfer function is easily cobbled out. (I've seen H and G used interchangeably, so don't get bogged down on some imagined foolish consistency.)

$$G_s=\frac{R}{R+s\,L+\frac{1}{s\, C}}$$

Moving towards a standard form of some kind (and I'm sure you can handle the algebra for it), this becomes:

$$G_s=\frac{\frac{R}{L}\,s}{s^2+\frac{R}{L}\,s+\frac{1}{L\, C}}$$

Set \$\alpha=\frac12 \frac{R}{L}\$, \$\omega_{_0}=\frac1{\sqrt{L\,C}}\$, and create the unitless \$\zeta=\frac{\alpha}{\omega_{_0}}\$. Now we can write:

$$G_s=\frac{2\alpha\,s}{s^2+2\alpha\,s+\omega_{_0}^2}=\frac{2\zeta\,\omega_{_0}\,s}{s^2+2\zeta\,\omega_{_0}\,s+\omega_{_0}^2}$$

The denominator is obviously quadratic and the roots are:

$$\begin{align*}\left\{\begin{array}{l}s_1=-\alpha+\sqrt{\alpha^2-\omega_{_0}^2}=-\zeta\,\omega_{_0}+\sqrt{\zeta^2\,\omega_{_0}^2-\omega_{_0}^2}=\omega_{_0}\left[-\zeta+\sqrt{\zeta^2-1}\right]\\s_2=-\alpha-\sqrt{\alpha^2-\omega_{_0}^2}=-\zeta\,\omega_{_0}-\sqrt{\zeta^2\,\omega_{_0}^2-\omega_{_0}^2}=\omega_{_0}\left[-\zeta-\sqrt{\zeta^2-1}\right]\end{array}\right.\end{align*}$$

\$\zeta\$ is handy. The following cases arrive (if you look at the square-root term of \$s_1\$ and \$s_2\$ you may note that it can be imaginary or real):

$$\begin{align*}\text{Damping factor conditions}\left\{\begin{array}{l}\zeta = 1 \left(\alpha=\omega_0\right)&&\text{Critically damped}\\\zeta \gt 1 \left(\alpha\gt \omega_0\right)&&\text{Over-damped}\\\zeta \lt 1 \left(\alpha\lt \omega_0\right)&&\text{Under-damped}\\\zeta = 0&&\text{Un-damped}\end{array}\right.\end{align*}$$

(We can eliminate the un-damped case, since in your circuit this means \$R=0\:\Omega\$ and therefore \$G_s=0\$ and the whole thing becomes trivial.)

The only way you can move towards the solution you are looking for is to assume that \$\zeta\gt 1\$ (over-damped case.) Here, the square-root part of the solution is real and therefore \$s_1\$ and \$s_2\$ are both real (and different from each other.) Here also, the \$s_1\$ and \$s_2\$ poles actually represent your \$\omega_{_\text{L}}\$ and \$\omega_{_\text{H}}\$:

$$\begin{align*}\left\{\begin{array}{l}\omega_{_\text{L}}=-s_1=\omega_{_0}\left(\zeta-\sqrt{\zeta^2-1}\right)\\\omega_{_\text{H}}=-s_2=\omega_{_0}\left(\zeta+\sqrt{\zeta^2-1}\right)\end{array}\right.\end{align*}$$

(You may note that \$\omega_{_\text{L}}\,\omega_{_\text{H}}=\omega_{_0}^2\$.)

Avoiding replacing \$s\$ with \$j\omega\$ for a moment:

$$G_s=\frac{2\zeta\,\omega_{_0}\,s}{\left(s-s_1\right)\cdot\left(s-s_2\right)}=\frac{2\zeta\,\omega_{_0}\,s}{\left(s+\omega_{_\text{L}}\right)\cdot\left(s+\omega_{_\text{H}}\right)}=\frac{\frac{2\zeta\,\omega_{_0}\,s}{\omega_{_\text{L}}\: \omega_{_\text{H}}}}{\left(\frac{s}{\omega_{_\text{L}}}+1\right)\cdot\left(\frac{s}{\omega_{_\text{H}}}+1\right)}$$

But now substituting in \$s=j\omega\$ and then continuing forward:

$$\begin{align*} G_s&=\frac{\frac{2\zeta\,\omega_{_0}\,j\omega}{\omega_{_\text{L}}\: \omega_{_\text{H}}}}{\left(1+\frac{j\omega}{\omega_{_\text{L}}}\right)\cdot\left(1+\frac{j\omega}{\omega_{_\text{H}}}\right)}\\\\ &=\frac{2\zeta\,\omega_{_0}}{\omega_{_\text{H}}} \cdot \frac{\frac{j\omega}{\omega_{_\text{L}}}}{\left(1+\frac{j\omega}{\omega_{_\text{L}}}\right)\cdot\left(1+\frac{j\omega}{\omega_{_\text{H}}}\right)}\\\\ &=\frac{2\zeta\,\omega_{_0}}{\omega_{_0}\left(\zeta+\sqrt{\zeta^2-1}\right)} \cdot \frac{\frac{j\omega}{\omega_{_\text{L}}}}{\left(1+\frac{j\omega}{\omega_{_\text{L}}}\right)\cdot\left(1+\frac{j\omega}{\omega_{_\text{H}}}\right)}\\\\ &=\frac{2\zeta}{\zeta+\sqrt{\zeta^2-1}} \cdot \frac{\frac{j\omega}{\omega_{_\text{L}}}}{\left(1+\frac{j\omega}{\omega_{_\text{L}}}\right)\cdot\left(1+\frac{j\omega}{\omega_{_\text{H}}}\right)}\\\\ &=\left[\frac{2}{1+\sqrt{1-\frac1{\zeta^2}}}\right] \cdot \left[\frac{\frac{j\omega}{\omega_{_\text{L}}}}{\left(1+\frac{j\omega}{\omega_{_\text{L}}}\right)\cdot\left(1+\frac{j\omega}{\omega_{_\text{H}}}\right)}\right] \end{align*}$$

At this point, I'm not sure what else you want. But I've gotten you close to your target, I hope.

(Some folks will prefer to use \$Q\$ instead of \$\zeta\$. If you are one of those, then just swap in \$\zeta=\frac1{2\,Q}\$.)


Note about conflicting usages of \$\alpha\$

You may note that I rapidly moved away from \$\alpha\$ in the answer above and that it isn't used at all once I developed the damping factor, \$\zeta\$. There is a reason.

I used \$\alpha\$ in the same way and context as is found at this Wiki page on RLC circuits. If you look at the first-order co-efficient in the denominator's quadratic, you'll see the expression, \$2\zeta\,\omega_{_0}\$. In my use and in the Wiki page's use, \$\alpha = \zeta\,\omega_{_0}\$, picking up the last two factors of that expression.

However, there are some writers discussing this very topic who use it to instead mean the first two factors, choosing to set \$\alpha=2\zeta\$. For an example, see this electronics tutorial on active bandpass filters and search for the term, "Quality Factor," within it. In that context (not mine), \$\alpha=\frac1{Q}\$.

I can't say I understand why this practice occurs. The damping factor, \$\zeta\$, is by itself sufficient and arguably serves the purpose better. There's no need to create a nearly identical variable, differing only by a factor of 2. Let alone the fact that doing so, while re-purposing a symbol used in the same context, serves more to confuse than to clarify. But there it is.

Be aware of such differences and read the work as it is written. Try to avoid conflating usages found in one place with usages found in other places. Even when you restrict what you read to the work product of well-trained authors (which I'm not), you still cannot depend upon consistent usage.

jonk
  • 77,876
  • 6
  • 77
  • 188
2

Well, we get the following transfer function:

$$\mathcal{H}\left(\text{s}\right)=\frac{\text{R}}{\text{R}+\text{sL}+\frac{1}{\text{sC}}}\tag1$$

If we want to plot the bode-plot we need to look at the value of the function when:

$$\text{s}=\text{j}\omega\tag2$$

Where \$\text{j}^2=-1\$.

So, we get:

$$\underline{\mathcal{H}}\left(\text{j}\omega\right)=\frac{\text{R}}{\text{R}+\text{j}\omega\text{L}+\frac{1}{\text{j}\omega\text{C}}}=\frac{\text{R}}{\text{R}+\left(\omega\text{L}-\frac{1}{\omega\text{C}}\right)\text{j}}\tag3$$

So, the amplitude function is given by:

$$\left|\underline{\mathcal{H}}\left(\text{j}\omega\right)\right|=\left|\frac{\text{R}}{\text{R}+\left(\omega\text{L}-\frac{1}{\omega\text{C}}\right)\text{j}}\right|=\frac{\left|\text{R}\right|}{\left|\text{R}+\left(\omega\text{L}-\frac{1}{\omega\text{C}}\right)\text{j}\right|}=\frac{\text{R}}{\sqrt{\text{R}^2+\left(\omega\text{L}-\frac{1}{\omega\text{C}}\right)^2}}\tag4$$

Some interesting points:

  1. \$\omega\to0\$: $$\lim_{\omega\to0}\left|\underline{\mathcal{H}}\left(\text{j}\omega\right)\right|=0\tag5$$
  2. \$\omega\to\infty\$: $$\lim_{\omega\to\infty}\left|\underline{\mathcal{H}}\left(\text{j}\omega\right)\right|=0\tag6$$
  3. The maximum/resonsancefrequency: $$\frac{\partial\left|\underline{\mathcal{H}}\left(\text{j}\omega\right)\right|}{\partial\omega}=0\space\Longleftrightarrow\space\omega=\frac{1}{\sqrt{\text{CL}}}\tag7$$
  4. Corner frequencies: $$\left|\underline{\mathcal{H}}\left(\text{j}\omega\right)\right|=1\cdot\frac{1}{\sqrt{2}}\space\Longleftrightarrow\space\omega=\frac{\sqrt{\text{R}^2+\frac{4\text{L}}{\text{C}}}\pm\text{R}}{2\text{L}}\tag8$$

Now, the phase information is given by:

$$\arg\left(\underline{\mathcal{H}}\left(\text{j}\omega\right)\right)=- \begin{cases} 0,\space\space\space\space\space\space\space\space\space\space\space\space\space\space\space\space\space\space\space\space\space\space\space\space\space\space\space\space\space\space\space\space\space\space\space\space\space\space\space\space\space\space\space\space\space\text{when}\space\omega\text{L}-\frac{1}{\omega\text{C}}=0\\ \\ \arctan\left(\frac{\omega\text{L}-\frac{1}{\omega\text{C}}}{\text{R}}\right),\space\space\space\space\space\space\space\space\space\space\space\space\space\space\space\space\space\space\text{when}\space\omega\text{L}-\frac{1}{\omega\text{C}}>0\\ \\\frac{3\pi}{2}+\arctan\left(\frac{\text{R}}{\left|\omega\text{L}-\frac{1}{\omega\text{C}}\right|}\right),\space\space\space\space\space\space\space\text{when}\space\omega\text{L}-\frac{1}{\omega\text{C}}<0 \end{cases} \tag9$$

Jan Eerland
  • 7,790
  • 12
  • 21
1

The transfer function of this circuit can be determined in a flashing time using the fast analytical circuit techniques or FACTs by chopping the electrical circuit in simple diagrams you can individually inspect. By inspection I mean you determine each time constant without writing a single line of algebra.

You first start by setting \$s\$ to 0, this is a dc analysis. In this mode, the capacitor is open while the inductor is a short circuit. The gain \$H_0\$ is 0.

Then, you reduce the excitation to 0 V and replace \$V_{in}\$ by a short circuit. You "look" through each energy-storing component terminals and determine the resistance you see. This resistance combined with \$C_2\$ or \$L_1\$ forms the time constant we want. The below drawing shows the steps:

enter image description here

For the zero - there is one located at the origin considering \$H_0=0\$ - you set the energy-storing elements in their high-frequency state and determine the gain in this conditions. You have \$H_1\$, \$H_2\$ and \$H_{12}\$ when both elements are in this state. When you look at the drawing, all gains are null except \$H_2\$.

You can now assemble all the time constants as illustrated in the below Mathcad sheet. Once this is done, you can rework a bit the expression and put the transfer function into a low-entropy form which should look like this:

\$H(s)=H_{res}\frac{1}{1+Q(\frac{s}{\omega_0}+\frac{\omega_0}{s})}\$

This is the correct way of writing this equation knowing the design goal is the resonant frequency but also the attenuation or peaking at this point. This is the leading term \$H_{res}\$.

enter image description here

Verbal Kint
  • 21,968
  • 1
  • 18
  • 55