How does one find the resonance frequency in a circuit?
Wikipedia and the like give some definitions that are not very useful in practice. I found somewhere(I think on this site but I cannot find it anymore) a definition that said that the resonance frequency is when the impedance is purely real. This made intuitively sense and worked in many cases but I ran into trouble with this circuit:

simulate this circuit – Schematic created using CircuitLab
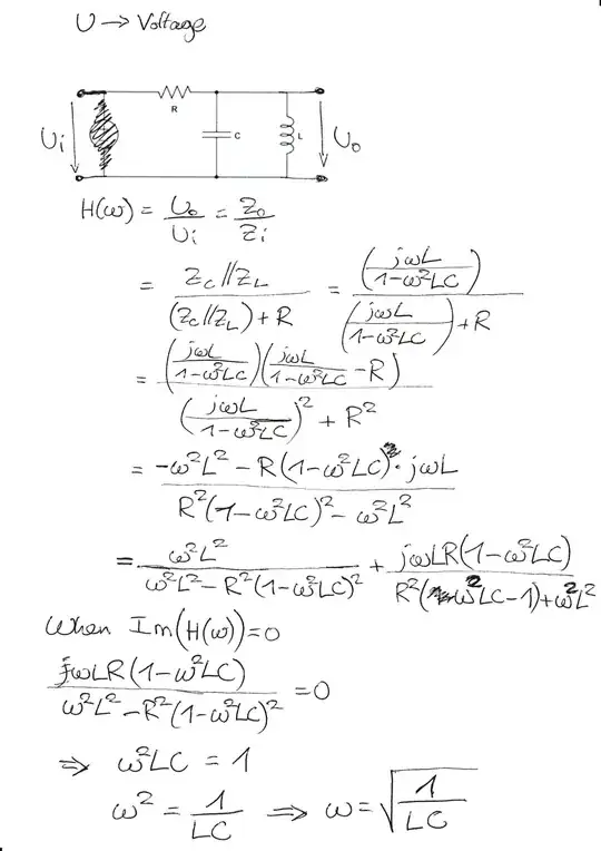
I found the impedance of this circuit to be:
$$ Z = R + \frac{1}{\frac{1}{j\omega L} +j\omega C}=R + \frac{j\omega L}{1-\omega^2 LC} $$ Setting the imaginary part to zero I get \$\omega = 0\$, but I think that in this case, it should corresponds to \$\omega = \frac{1}{\sqrt{LC}}\$ which makes the imaginary part infinite and the transfer function 1.
So is that correct and if so how do you find the resonance in general?
EDIT: My question is
Since the above definition for resonance does NOT work in the circuit above, what is the correct one? and HOW do you find the resonance for a given circuit?
EDIT 2
I am considering IDEAL elements only.
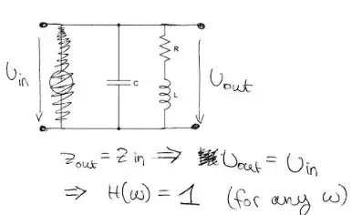
Consider another circuit:
 
$$ Z = \frac{R+j\omega L}{1+Rj\omega C -\omega^2LC} $$ The resonance frequency for this circuit is $$ \omega_0 = \sqrt{\frac{1}{LC} -\frac{R^2}{L^2}} $$ which is obtained by using the method I outlined initially(setting imaginary part of Z to 0). This frequency is neither a pole or a zero of the impedance. Rather, $$ Z(\omega_0) = \frac{L}{RC} $$ Also, the impedance of the inductor and capacitor are not equal in magnitude.
So I still don't know how to find the frequency in general.
 
    
 
    
 
     
     
     
    


 
    