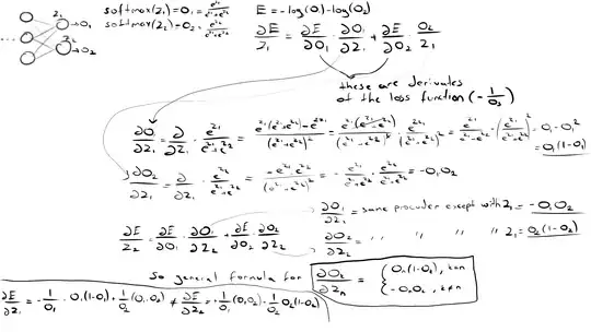
Let Zs be the input of the output layer (for example, Z1 is the input of the first neuron in the output layer), Os be the output of the output layer (which are actually the results of applying the softmax activation function to Zs, for example, O1 = softmax(Z1)), and Ys be the target values (which are 0 or 1 because in this example we are dealing with classification problems and using one-hot encoding). E is the sum of the neuron's loss using the CrossEntropy loss function.
Let's say our neural network has 2 neurons, and Y1 = 1 (so Y2 = 0). What is the derivative of E with respect to Z1 and the derivative of E with respect to Z2? After calculations, I came to the conclusion that the value of all derivative of E with respects to Zs(Z1 and Z2) should be equal, becasue they are all equal to O1-1 ( since Y1 = 1 as i said), so am i right or wrong?(and why)
