I would like to know if it's correct if I substitute in the ELBO formula

a weighted sum of the loglikelihood
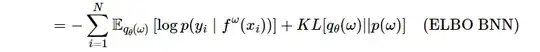
$$\sum E_{q_{\theta}(w)}[w_i \ln{p(y_i|f^{w}(x_i))}]$$
in place of the traditional sum. My problem is that my dataset comes with the errors on the target variable, which means that i have access to the weights and i would like to give more value to the measurements with a lower error rather than considering all of them equals. The addition of the weights would mean that the formula for the posterior probabilitychanges in $$ p(w,D)= \frac{ p(D,w)p(w)}{p(D)} = \frac{ (\prod p(y_i|f^{w}(x_i))^{w_i})p(w)}{P(D)} $$
does doing something like this correct in the bayesian framework?