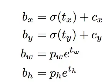
I am confused by the equations for bounding boxes I find online. Some articles say that
box_width = anchor_width * exp(residual_value_of_box_width))
and the coordinates have a sigmoid function.
Eg: https://www.kdnuggets.com/2018/05/implement-yolo-v3-object-detector-pytorch-part-1.html
But Darknet code and GitHub have equations dividing coordinates and box width with image width.
For example, https://github.com/AlexeyAB/darknet/blob/master/build/darknet/x64/data/voc/voc_label.py
def convert(size, box):
dw = 1./size[0]
dh = 1./size[1]
x = (box[0] + box[1])/2.0
y = (box[2] + box[3])/2.0
w = box[1] - box[0]
h = box[3] - box[2]
x = x*dw
w = w*dw
y = y*dh
h = h*dh
return (x,y,w,h)
If the image width is used, then what is the use of anchor box width/height values in yolov3.cfg file? I can't find where it has been used in the source code other than generate the anchors file.
