The RPN loss in Faster RCNN paper is
$$ L({p_i}, {t_i}) = \frac{1}{N_{cls}} \sum_{i} L_{cls}(p_i,p_i^*) + \lambda \frac{1}{N_{reg}} \sum_i p_i^* L_{reg}(t_i, t_i^*) $$
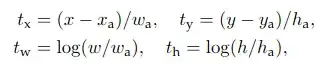
For regression problems, we have the following parametrization
$$t_x=\frac{x - x_a}{w_a}, \\ t_y=\frac{y−y_a}{h_a}, \\ t_w= \log \left( \frac{w}{w_a} \right),\\ t_h= \log \left(\frac{h}{h_a} \right)$$
and the ground-truth labels are
$$t_x^*=\frac{x^* - x_a}{w_a},\\ t_y^*=\frac{y^*−y_a}{h_a}, \\ t_w^*= \log \left( \frac{w^*}{w_a} \right), \\ t_h^*= \log \left(\frac{h^*}{h_a} \right)$$
where
$x$ and $y$ are the two coordinates of the center, $w$ the width, and $h$ the height of the predicted box.
$x$ and $y$ are the two coordinates of the center, $w$ the width, and $h$ the height of the anchor box.
$L_{reg}(t_i, t_i^*) = R(t_i − t_i^*)$, where $R$ is a robust loss function (smooth $L_1$)
These equations are unclear to me, so here are my two questions.
How can I get the predicted bounding box given the neural network's output?
What exactly is the smooth $L_1$ here? How is it defined?
