Apologies for the lengthy title. My question is about the weight update rule for logistic regression using stochastic gradient descent.
I have just started experimenting on Logistic Regression. I came across two weight update expressions and did not know which one is more accurate and why they are different.
The first Method:
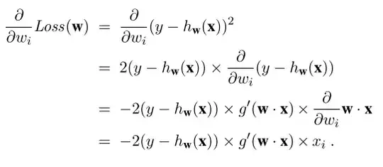
Source: (Book) Artificial Intelligence: A Modern Approach by Norvig, Russell on page 726-727: using the L2 loss function:
where g stands for the logistic function g' stands for g's derivative w stands for weight hw(x) represents the logistic regression hypothesis
The other method:
Source (Paper authored by Charles Elkan): Logistic Regression and Stochastic Gradient Training.
can be found here


