MyOpenMath/Solutions/Quizbank EM
Here are posted solutions to three Quizbank quizzes that have been transported to MyOpenMath.
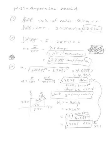
Ampere's Law Symmetry

- This quiz may be found at special:permalink/1863400
is called the displacement current because it replaces the current density when using Ampère's circuital law to calculate the line integral of the magnetic field around a closed loop. To keep this problem simple, we can use H instead of B: By defining B=μ0H, we can express Ampere's law without any constants:
It should be noted that another way to remove the annoying μ0 is to use a different set of variables. By considering an infinitely long wire viewed top-down along the z-axis, the line integral associated with a single line charge reduces to an integral over the angle:
Note the similarity between this discussion of Ampere's law for a single infinite line charge to the three-dimensional discussion of Gauss's law for a single point source at Gauss_law_(TF)/Proof. And to keep the questions even simpler for those who understand the concept, the solution posted to the right uses shapes where can be obtained by inspection of a sketch of the graph.
Similar links to Wikiversity pdf files for two other quizzes are shown below
Ampere's Law

- This quiz may be found at special:permalink/1828922
These are more conventional problems, except that one uses a known formula for magnetic field to calculate the line integral. My philosophy in constructing this OER quizbank is that we need so many ways to ask the same question that students will it easier difficult to understand the physics and then glance over the publicly posted solutions, than to attempt to memorize all the solutions.
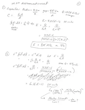
Displacement current
- For more help with these questions visit Physics_equations/24-Electromagnetic_Waves

- This quiz may be found at special:permalink/1863401
This was a much more difficult quiz than I anticipated. The problem is that there are many was to do the same problem, and some are quite tedious.
Appendix:Two annoying constants μ0 and ε0
Another way to avoid the constants μ0 and ε0 is to use a different system of units. From Wikipedia, we see that Maxwell's equations can be described in a wide variety of units. The two most common are:
SI units
These equations have the practical advantage that if , then is measured in volts. And the units of are coulombs per second, or ampheres ("amps").
Gaussian units
The use of Gaussian units permits the removal of the annoying constants , but at the expense of not being able to measure V in volts, Q in coulombs, I in amps, or B in tesla. As before we have:
and
but now are measured in statC (or Fr), statV, statC/s, and gauss (respectively). Length is measured in centimeters and mass is measured in grams.