Ideas in Geometry/Analytic Geometry
Analytic Geometry is covered in section 1.2.3 of our textbook.
When addressing this topic I asked three questions:
- What is analytic geometry?
- What is it used for?
- What do I need to know and be able to do for the homework and the exam?
Below are the responses I came up with to answer my questions.
Definition
Initially, I looked at this section and found no clear definition as to what Analytic Goemetry was actually about. I saw a nice little story about Sir Isaac Newton, a plane with a line and a curve, and a formula that seemed a little complicated, but no idea what we were talking about.
After a little research, my definition of Analytic Geometry is this: The study of geometric objects within the coordinate plane, or you could call it Coordinate Geometry.
This means that any geometric object which can be drawn on a coordinate plane is part of this realm. This includes all of your basic shapes - circles, quadrilaterals, triangles, etc.
Why Do We Use This Stuff?[1]
Analytic Geometry can be used for many things in math:
Coordinates
The most basic form of this would be the coordinate plane. On which we can plot and manipulate points on a plane using a values of x and y.

Distance and Angles
By using our coordinate planes, we can determine distance between points along with the angles created by line in relationship to other lines.

This linked picture show us the relationship between angles, distance, and coordinate planes.
Equations of Curves
Analytic Geometry can also be used to plot curves of equations that use polynomials and other equations that require an input of x and which results in an output of y (x and y act would be coordinates for a point on a plane).
This picture shows up a curve in black with a line tangent to the curve:

Other Themes
Below are some other important themes of analytical geometry, some of which we need not worry about right now:
- vector space
- definition of the plane
- the dot product, to get the angle of two vectors
- the cross product, to get a perpendicular vector of two known vectors (and also their spatial volume)
- intersection problems
Many of these problems involve a good deal of linear algebra and Lesson Four: Algebraic Geometry.
What Do We Need To Know For This Class?
As you can see, much of what we see in Analytic Geometry will be used throughout this class, but for the purposes of this particular chapter and section, we will focus on the concept of slope of a tangent line at a given point on a curve (In Calculus it is known as the concept of a derivative).
For our example in the book we are given a picture similar to this:

Where:
h is a small number which approaches 0 (For Example: 0.1, 0.01, 0.001...).
x is our input number.
f(x) is our function f with the x value plugged into it (represented by the green curve).
Is this making sense? If not think of the picture in terms of basic slope:
Slope (m) = Rise (Change in y)/Run (Change in x)
So this pictures really shows that our formula to solve this is: m = f(x+h) - f(h)/h Because: f(x+h) - f(h) is the change in the y value and h is the change in x.
Solving for the Slope of a Tangent Line Given an Equation and a Point
On page 18 of the .pdf textbook, you see the process for solving this kind of problem. To sum it up:
- Set up the formula for slope of a tangent line with the appropriate values inserted for the variables.
- Gather a selection of numbers approaching 0 (0.1, 0.01, 0.001...)
- Substitute these numbers in for h.
- All of the numbers should approach the slope of the tangent line.
The Calculus Derivative Trick
There is actually an easier process for to find the slope of a tangent line at a point on a curve.
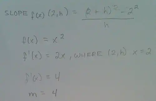
So, let's look at the first example shown on page 18.

On this particular problem, we have taken the derivative of f(x). The derivative of this equation gives us another equation which will tell us the slope of the tangent line at any value of x. The derivative is found by multiplying the power of the exponent of a polynomial by the number in front of the varialbe, then reducing the exponent by 1. Here is the general formula.
Derivatives of powers: if
- ,
where r is any real number, then
- ,
wherever this function is defined.
So by this idea we arrive at :.
And after substituting 2 for x, our answer for this example the slope is 4.
Why does this work?
Let's look at an example when we are solving for an unknown x value (xo) for the same f(x) as in our example.

When this formula is broken down algebraically it becomes clear how this works out. If you were to look at the original method for our example and reduce the formula before substituting smaller values of h, you would notice that the process is similar to the one above.
DISCLAIMER
However, now that we have a nice method for solving for the slope of the tangent line, I must remind you that this is a shortcut. The key to this section for this class is to be able to explain why all of this makes sense in terms of the coordinate plan and values of x and h. Once you move on to Calculus, you will do much more work with this shortcut, but the key to doing well in MATH 119 is to understand these concepts in geometric terms.
References
Analytic Geometry from Wolfram Math
Analytic Geometry formulas from Dr. Math
MATH 119 Wiki: Topic:Ideas_in_Geometry